Estudios e Investigaciones
Desafíos de la Inteligencia Artificial generativa en educación superior: fomentando su uso crítico en el estudiantado
Challenges of generative Artificial Intelligence in higher education: promoting its critical use among students
Desafíos de la Inteligencia Artificial generativa en educación superior: fomentando su uso crítico en el estudiantado
RIED-Revista Iberoamericana de Educación a Distancia, vol. 28, núm. 2, pp. 189-231, 2025
Asociación Iberoamericana de Educación Superior a Distancia

Cómo citar: Romeu Fontanillas, T., Romero Carbonell, M., Guitert Catasús, M., & Baztán Quemada, P. (2025). Challenges of generative artificial intelligence in higher education: promoting its critical
use among students [Desafíos de la inteligencia artificial generativa en educación superior: fomentando su uso crítico en el estudiantado]. RIED-Revista
Iberoamericana de Educación a Distancia, 28(2), 209-231. https://doi.org/10.5944/ried.28.2.43535
Resumen: La irrupción generalizada de la Inteligencia Artificial generativa (IAG) plantea nuevos desafíos para su integración en la Educación Superior. El conocimiento de la IAG, de sus posibilidades y de sus riesgos, debe ir acompañado de la reflexión sobre los aspectos normativos y éticos que esta nueva tecnología suscita. Este artículo presenta los resultados de incluir, en el currículum de la asignatura de una universidad en línea, un recurso de aprendizaje sobre la IAG y una reflexión compartida sobre las implicaciones éticas de su uso. Se analizan los datos cuantitativos y cualitativos obtenidos de más de 900 estudiantes universitarios mediante un cuestionario en línea con preguntas abiertas y cerradas, distinguiendo dos grupos: uno que no tuvo acceso al recurso de aprendizaje y posterior debate y otro que sí. Se analiza comparativamente cómo influye la formación seguida en el conocimiento autopercibido y la influencia en este conocimiento de otras variables, como el nivel formativo de los participantes o la tipología de estudios cursados. Del análisis cualitativo han emergido siete categorías que aglutinan los principios éticos que el estudiantado debería tener en cuenta a la hora de utilizar la IAG. Los resultados demuestran cómo una formación específica sobre IAG mejora el conocimiento de esta, ayudando a discernir sobre sus potencialidades y aspectos críticos de forma informada y consciente, al tiempo que ayudan a la mejora de los elementos de la asignatura relativos a la IAG.
Palabras clave: inteligencia artificial, estudios universitarios, ética, pensamiento crítico.
Abstract: The widespread emergence of generative artificial intelligence (GenAI) presents significant challenges for its integration into Higher Education. Understanding AIG, its possibilities, and its risks must go hand in hand with a critical reflection on the regulatory and ethical issues it raises. It is essential for students to develop informed perspectives that allow them to use GenAI responsibly. This article presents the results of incorporating a specific learning resource on GenAI, along with a shared ethical discussion, into the curriculum of an online university course. The study analyzes both quantitative and qualitative data collected from over 900 university students through an online questionnaire featuring open and closed questions. Two groups were compared: one that did not have access to the learning resource and debate, and another that did. The research examines how this educational experience influences students' self-perceived knowledge of GenAI and explores the impact of other variables, such as the participants’ level of education and the type of studies they pursued. From the qualitative analysis, seven categories emerged, grouping the ethical principles that students should consider when engaging with GenAI. The findings demonstrate that specific training on GenAI improves students’ understanding, helping them critically assess its potential and challenges. Additionally, the results contribute to enhancing course components related to GenAI, fostering a more responsible and reflective approach to its use.
Keywords: artificial intelligence, university studies, ethics, critical sense.
INTRODUCCIÓN
La irrupción y rápida adopción de la Inteligencia Artificial generativa (IAG) ha revolucionado la forma de generar contenido textual, visual y audiovisual. La IAG, definida como “una tecnología que (i) utiliza modelos de aprendizaje profundo para (ii) generar contenido similar al humano (por ejemplo, imágenes, texto) en respuesta a (iii) indicaciones complejas y variadas (como idiomas, instrucciones, preguntas)” (Lim et al., 2023, p. 2), conlleva grandes promesas y desafíos. Las herramientas de IAG mejoran continuamente sus prestaciones respecto a versiones anteriores, permitiendo completar una amplia variedad de tareas sin necesidad de conocimientos especializados (Jarrahi et al., 2023), al tiempo que se retroalimentan con la información existente en la red, incluso con la nueva información generada.
La IAG permite que cualquier persona con acceso a internet pueda interaccionar con ella, ofreciendo formas nuevas de relacionarse, consumir y compartir información, con implicaciones en prácticamente todos los ámbitos, por lo que no es sencillo abarcar el alcance de esta nueva realidad.
Otra importante amenaza que se presenta es el compromiso para la seguridad y privacidad que supone el flujo de millones de datos y conocimiento de los usuarios (Ruschemeier, 2024; Shi, 2023); así como el posible sesgo o falta de rigor en la información, ya que, tal y como señala Grassini (2023), las respuestas de modelos como Chat GPT pueden no ser siempre exactas, sobre todo, en el caso de información especializada, o como la generación de contenido que, aunque simula ser auténtico, carece de una base real, aspecto que aumenta la incertidumbre sobre la veracidad de la información (Raman et al., 2024; Wach et al., 2023).
Además, la IAG amplifica las diferencias asociadas a la brecha digital (Farahani y Ghasemi, 2024; Wilmers, 2024), suponiendo un nuevo frente de desigualdad, así como una falta de democratización del conocimiento (Pragya, 2024). Se añaden las implicaciones negativas de su uso para el medio ambiente, ya que el entrenamiento y la utilización de grandes modelos de IAG demandan cantidades significativas de energía, incrementando las emisiones de gases de efecto invernadero (Ponce del Castillo, 2024; Rane et al., 2024).
Es igualmente crucial reflexionar sobre cómo la IAG transforma y transformará los ámbitos y campos profesionales. Según Zarifhonarvar (2024), esta tecnología tendrá un gran impacto en sectores como, por ejemplo, la industria, la banca, la tecnología o las ciencias sociales. En consecuencia, afectará, y de hecho está afectando, al mercado laboral, provocando la eliminación de algunas profesiones y generando otras nuevas. De este modo, “la IAG tiene el potencial de cambiar la anatomía del trabajo, aumentando las capacidades de los trabajadores automatizando algunas de sus tareas” (Chui et al., 2023, p. 5), pero puede provocar un aumento significativo de las tasas de desempleo (Frey y Osborne, 2023).
Este complejo escenario implica que la dimensión ética de la utilización de la IAG adquiera una relevancia fundamental, particularmente en los esfuerzos por establecer un marco regulatorio adecuado, como la nueva normativa europea conocida como Reglamento (UE) 2024/0138 sobre la Inteligencia Artificial de la UE que, adoptado por el Parlamento Europeo, establece normas coordinadas en esta materia.
En este contexto, la educación emerge como uno de los campos de mayor sensibilidad frente a la aplicación de la IAG, planteando grandes interrogantes sobre su transformación. Entre las cuestiones más relevantes destaca el papel del profesorado en este nuevo escenario (Chan y Tsi, 2024) y su incidencia en la adquisición de las competencias por parte del estudiantado ( Lim et al., 2023). La UNESCO ha sido una de las principales organizaciones que ha planteado la necesidad de establecer un marco para abordar estas inquietudes, como, por ejemplo, en el Consenso de Beijing sobre IA y educación estableciendo recomendaciones sobre lo que implica un enfoque humanizado para el uso de la IA en el contexto educativo (UNESCO, 2019). Asimismo, la Recomendación sobre la ética de la inteligencia artificial (UNESCO, 2021a) proporciona un marco normativo de los aspectos críticos relacionados con la IAG, incluyendo la educación y la investigación. En esa misma línea, publicó la guía IA y educación (UNESCO, 2021b) que ofrece recomendaciones concretas para formular políticas dirigidas al uso adecuado de la IA en el ámbito educativo. Más recientemente, presentó una Guía para la IAG en educación e investigación (UNESCO 2023), con el foco en las implicaciones de su uso en dichos ámbitos.
Centrándonos en el ámbito de la Educación Superior (ES), y tal como señalan García-Peñalvo et al. (2024), esta tecnología también genera un impacto significativo. Instituciones, investigadores, profesorado y alumnado universitario se enfrentan a un cambio de paradigma (Huang et al., 2021), donde la velocidad de los cambios deja escaso margen para su asimilación (Grassini, 2023; Hwang y Chen, 2023). Esta situación ha llevado a la proliferación de estudios como el de Al Shloul et al. (2024), que analiza cómo las universidades se están posicionando ante herramientas como ChatGPT, o analizando la incidencia de la IAG en los entornos en línea de las universidades ( Wang y Lei, 2024).
Tal y como destaca la Conferencia de Rectores de las Universidades Españolas (CRUE), “las herramientas de IAG dan la posibilidad de que los estudiantes puedan recibir más y mejor formación. Estas herramientas pueden actuar ya en etapas previas, contribuyendo a facilitar el acceso al mundo universitario” (Cruz Argudo et al., 2024, p. 7). No obstante, la IAG plantea desafíos importantes debido a su capacidad para generar textos académicos de gran complejidad que puede conllevar que el alumnado realice un trabajo sin necesidad de desarrollar competencias como la de la indagación, el pensamiento crítico o la capacidad de discernir entre la información real y la falsa (Rahman y Watanobe, 2023).
Todo ello interpela a los distintos actores del sistema educativo en la búsqueda de nuevas formas de trabajar y establecer nuevos parámetros legales y éticos.
Así, el aumento significativo de las investigaciones abarca temáticas variadas como la percepción del alumnado universitario sobre las implicaciones de su uso (Johnston et al., 2024), la mejora del rendimiento académico y la motivación (Mohamed et al., 2024), o la aceptación de esta tecnología por el estudiantado y el personal académico ( Kanont et al., 2024; Shahzad et al., 2024). También sobre sus posibles efectos negativos, como la proliferación del plagio académico (Cotton et al., 2024) o su incidencia en los procesos psicológicos y la regulación de emociones como la ansiedad producida por su uso (Kaya et al., 2024).
A partir del amplio marco de investigación existente, este trabajo pretende, como objetivo principal, indagar en el conocimiento sobre la IAG y las herramientas basadas en ella de los y las estudiantes de una universidad en línea, atendiendo también a los criterios éticos y las principales preocupaciones que su uso les suscita.
Contexto
Desde la adaptación al EEES en 2009, la Universitat Oberta de Catalunya (UOC) imparte la asignatura transversal “Competencias TIC” (CTIC) en la que los estudiantes adquieren de forma gradual e integrada la competencia digital, fundamental en el caso de la UOC por ser una universidad íntegramente en línea, y en la que los estudiantes desarrollan un proyecto digital en equipo según el modelo ABPCL ( Romero et al., 2024).
En el segundo semestre del curso 23/24 se incorporó un recurso de aprendizaje sobre la IAG, que refuerza un debate virtual evaluable sobre las implicaciones de su uso en el ámbito académico, que es el objeto de este estudio. Los datos recogidos permitieron establecer una comparación entre los dos semestres, dado que durante el primero de ellos no se trató la incidencia de la IAG al no disponer del recurso ni realizarse el debate.
El diseño del recurso (Sebastià, 2024) fue coordinado por el profesorado de la asignatura ante un uso cada vez más generalizado de la IAG para la realización de actividades académicas. La asignatura CTIC es el marco ideal para introducir este conocimiento, dado que se imparte en los distintos grados de la UOC, contemplando la dimensión ética de la competencia digital, promoviendo una utilización responsable en el desarrollo de actividades de aprendizaje y atendiendo siempre a los retos que esta implica.
Con esta finalidad, el recurso se estructura en los siguientes apartados:
El apartado “Criterios éticos para el uso de la IA”, adquiere especial importancia en este estudio. Se estructura en dos partes: una en la que se detallan los desafíos que comporta la IAG, como la desinformación o la seguridad y privacidad de los datos, y otra, bajo el título “Consideraciones que hay que tener en cuenta como estudiantado de la UOC”, que ofrece pautas para su utilización en el ámbito académico como aplicar la normativa establecida, citar dónde se ha utilizado la IAG, contrastar críticamente la información aportada, no introducir datos personales, confidenciales o protegidos y planificar su uso para evitar la dependencia de la herramienta (Sebastià, 2024).
Como se ha mencionado anteriormente, y como actividad que implica una lectura analítica y profunda del recurso expuesto, los y las estudiantes participaron en un debate propuesto a partir del siguiente caso ficticio de trabajo en equipo:
"Un grupo de estudiantes está desarrollando un proyecto digital en equipo. Han distribuido las tareas de forma equitativa de manera que cada uno es el responsable del desarrollo de una parte del proyecto y, a su vez, cada miembro del equipo valida la elaboración de otro. Cristina revisa la tarea de Leo, detectando errores importantes tanto a nivel de coherencia del texto como de autenticidad de los datos y argumentos expuestos. Cuando le comenta este hecho, Leo contesta que ha resuelto su tarea empleando una herramienta de IAG que le ha redactado el contenido de toda la actividad. Dado que el enunciado del trabajo advierte sobre el plagio, y que cree que se está vulnerando la normativa académica, Cristina opina que Leo debe rehacer su parte”.
Partiendo del caso, se plantean una serie de cuestiones relativas a la actuación de Leo, que los estudiantes debaten en el foro del aula, plantean posibles soluciones a la situación generada fomentando una reflexión compartida sobre cómo utilizar este tipo de herramientas sin vulnerar la normativa académica y aportando valor a los aprendizajes.
Por lo tanto, en la asignatura CTIC se trata el uso de la IAG desde una perspectiva reflexiva y, a la vez, buscando su aplicación en la práctica de actividades académicas.
METODOLOGÍA
El objetivo central de esta investigación es indagar en el conocimiento que el estudiantado de ES tiene de la IAG. Con este fin, la investigación se estructura siguiendo tres preguntas de investigación:
Se sigue una metodología mixta integrando datos cualitativos y cuantitativos tanto en la recogida de información como en su posterior análisis (Creswell, 2014; Zhou et al., 2024).
Para la obtención de los datos se diseñó y aplicó un cuestionario en línea en cada uno de los semestres del curso 2023-24. El alumnado del primer semestre no disponía del recurso mencionado ni realizó una actividad evaluable de debate, mientras que el segundo semestre sí tuvo acceso al recurso y llevó a cabo la actividad. La participación de estos dos grupos diferenciados permite abordar el estudio comparativo que se presenta en las sucesivas secciones.
El cuestionario incluía preguntas cerradas de múltiple opción, una pregunta cerrada con respuesta en escala de Likert del 1 al 5, y preguntas abiertas sobre distintos aspectos relacionados con la IAG. Se incluyeron preguntas demográficas (formación máxima obtenida, estudio que se cursa, edad y género). Fue validado por nueve expertos especializados en tecnología y educación del grupo de investigación Edul@b.
La población de estudio está formada por el alumnado de la asignatura CTIC, transversal en los programas de Grado de la UOC, con 3.574 estudiantes matriculados en el primer semestre y 2.532 en el segundo semestre del curso 2023-24. La recogida de datos se realizó durante la finalización de ambos semestres de forma confidencial y anónima, mediante un formulario de Google. La muestra obtenida es el resultado de la participación voluntaria de los estudiantes, siendo representativa de cada uno de los estudios donde se imparte la asignatura. Incluye al 21 % de la población del primer semestre y al 11 % de la población del segundo, con un nivel de confianza del 95 % y un margen de error del 3,32 % y del 5,93 % respectivamente. La Tabla 1 presenta dichos datos por estudio:
| Total | E1 | E2 | E3 | E4 | E5 | ||
| Derecho y Ciencia Política | Economía y Empresa | Artes y Humanidades | Psicología y Ciencias de la Educac. | Informática y Telecomuni-caciones | |||
| 1er semestre | Población | 3242 | 882 | 891 | 298 | 738 | 433 |
| Muestra | 686 | 157 | 216 | 64 | 146 | 103 | |
| % pobl. | 21 | 18 | 24 | 21 | 20 | 24 | |
| 2º semestre | Población | 2181 | 539 | 534 | 227 | 532 | 349 |
| Muestra | 243 | 46 | 74 | 31 | 38 | 54 | |
| % pobl. | 11 | 9 | 14 | 14 | 7 | 15 | |
Se analizaron cuantitativamente los datos con el programa estadístico de software libre JASP.
Atendiendo a la perspectiva cualitativa de la investigación, los estudiantes pudieron manifestar aquellos aspectos éticos que consideran más importantes en el uso de la IAG contestando a la pregunta abierta: “Menciona tres elementos fundamentales para utilizar la IAG de forma ética y responsable”, que permite ahondar en la tercera pregunta de investigación.
Utilizando el software libre QCAmap, las respuestas se fueron codificando en vivo en ambos grupos (utilización del recurso y no utilización) hasta que no emergieron nuevas categorías. La codificación axial de las trece categorías así obtenidas se estableció entre cuatro investigadores siguiendo el criterio de similitud conceptual entre ellas, triangulando posteriormente el resultado en contraste con la literatura, dando lugar a las siete categorías finales y su definición ( Tabla 3 sección Resultados) con las que se completó el análisis de la totalidad de las respuestas (Bonilla-García y López-Suárez, 2016). La Figura 1 muestra un ejemplo de codificación utilizando QCAmap: la categoría inicial Plagio se integra durante la categorización axial en la categoría CAT 2 (Honestidad y propiedad intelectual).

El mismo software se utilizó para el análisis de los debates generados a partir del caso, mediante una búsqueda intencionada de las categorías emergidas del análisis de los cuestionarios, citándose alguna de las intervenciones para enriquecer la discusión.
RESULTADOS Y DISCUSIÓN
Los resultados se organizan siguiendo las preguntas de investigación. En cuanto a la primera, ¿Qué conocimiento autopercibido de la IAG tiene el estudiantado?, se analiza el grado de conocimiento percibido discriminando entre los dos semestres, dado que el uso del recurso es una variable que podría influir en los resultados.
El cuestionario formula la pregunta “¿Conoces la Inteligencia Artificial Generativa?” con cinco niveles de respuesta en escala de Likert, que definen la variable Conocimiento:
Se observan diferencias significativas (t = -10.922, p < 0.001) entre quienes no han utilizado el recurso (No recurso, M = 3,12; SD = 1,01) y quienes sí lo han hecho (Sí recurso, M = 3,57; SD = 0,85). Estos resultados sitúan al primer grupo en un estado medio de conocimiento básico (nivel 3) sobre la IAG y al segundo grupo más cerca del nivel 4: “Entiendo en qué consiste y algunas de sus aplicaciones”. Para estudiar la relación entre estas dos variables con más detalle, la Figura 2 muestra los resultados por niveles la variable Conocimiento respecto a la variable Recurso.

Cabe destacar que un 26,53 % del grupo No recurso declara no haber oído hablar de la IAG o haber oído hablar de ella, pero no entender en qué consiste (agrupando los niveles 1 y 2 de la escala), mientras el porcentaje baja hasta un 1,24 % en el grupo Sí recurso. Así, una cuarta parte de estudiantes adquieren como mínimo un conocimiento básico sobre la IAG con la utilización del recurso. Por otro lado, quienes accedieron al recurso y al debate los valoran muy positivamente, con un 3,96 y un 4,01 sobre 5 respectivamente.
Destacan por la diferencia relativa los resultados del nivel 4, pasando de un 34,99 % a un 64,20 % con el uso del recurso, mientras que los resultados conjuntos de los niveles 4 y 5 indican cómo el porcentaje de estudiantes que declaran un mayor conocimiento pasa del 40,38 % al 76,55 %. Estos resultados refuerzan cómo la formación específica sobre IAG se muestra eficaz a la hora de aumentar el conocimiento sobre la misma (Ruiz Mendoza et al., 2024).
Para profundizar en estos resultados, y dando respuesta a la segunda pregunta de investigación, ¿Qué variables influyen en este conocimiento?, la Tabla 2 presenta los resultados medios obtenidos para la variable Conocimiento en relación con las variables Formación, Edad y Estudio.
| Formación | Edad | Estudio | |||||||||||||
| 1 | 2 | 3 | 4 | 5 | 1 | 2 | 3 | 4 | 5 | 1 | 2 | 3 | 4 | 5 | |
| M | 3,32 | 3,21 | 3,55 | 3,41 | 3,92 | 3.09 | 3,29 | 3,31 | 3,32 | 3,47 | 3,24 | 3,3 | 3,52 | 3,05 | 3,64 |
| SD | 0,94 | 1,01 | 0,92 | 0,95 | 0,97 | 1,04 | 0,96 | 0,99 | 0,99 | 0,9 | 1,01 | 0,92 | 0,93 | 0,99 | 0,91 |
En la variable Formación, en los grupos de menor nivel formativo (Secundaria y Grado) las medias son algo menores a las de los grupos de mayor formación (Máster, Postgrado y Doctorado), siendo M = 3,27 para el primer grupo y M = 3,55 para el segundo. El test ANOVA refleja diferencias significativas respecto a la formación, pero quedando delimitadas post hoc (p tukey = 0,004) a la diferencia entre Secundaria (M = 3,21) y Grado (M = 3,55). Se desprende que el nivel de formación académica previa no es una variable que explique las diferencias encontradas en el conocimiento de la IAG.
Respecto a la variable Edad, la mayor diferencia se da entre los menores de 20 años (M = 3,09) y los mayores de 50 (M = 3,47), pero no siendo estas diferencias significativas (t = -10.922, p < 0.001).
En relación con las diferencias encontradas en la variable Estudio (Tabla 2), los análisis realizados mediante pruebas ANOVA y post hoc Tukey revelan diferencias significativas entre las siguientes combinaciones de disciplinas académicas: Derecho e Informática (p = 0,005), Economía y Empresa e Informática (p = 0,002), Humanidades y Psicología (p < 0,001) y Psicología e Informática (p < 0,001). Estos resultados evidencian variaciones sustanciales en la variable conocimiento según la disciplina académica cursada.
Ordenando los estudios de mayor a menor valoración media del conocimiento sobre la IAG se encuentra la siguiente disposición: 5- Informática y Telecomunicaciones, 3- Humanidades, 1- Derecho, 2- Empresa, 4- Psicología y Educación. Destaca la disciplina relacionada con las ingenierías del ámbito informático, aspecto lógico, teniendo en cuenta sus conocimientos técnicos respecto a la IAG. El segundo lugar de los estudios de Humanidades se explicaría por el perfil de sus estudiantes, que cursan su segunda carrera y preocupados por los aspectos éticos y sociales que interpela la IAG. Llama la atención la última posición de los estudios de Psicología y Educación, que puede atribuirse a cierta reticencia del uso de la IAG en el campo académico de la Psicología, en consonancia con lo señalado por Newell (2023) al plantear la oralidad como forma de paliar su uso en el contexto académico.
Estos resultados coinciden con investigaciones como la de Wang y Li (2024) que determinaron diferencias significativas en el impacto de la intención de uso de la IAG entre distintas disciplinas académicas. En una línea parecida, Stöhr et al. (2024) encontraron también diferencias significativas entre la familiaridad de los estudiantes con herramientas de IAG y su ámbito de estudio.
Se analiza ahora la relación de la variable Recurso con el conocimiento de las diferentes herramientas de IAG. La Figura 3 muestra el porcentaje de respuestas para cada una de las herramientas en ambos grupos (No Recurso y Sí Recurso).

ChatGPT destaca como la herramienta más conocida, con casi un 90 % de quienes no habían utilizado el recurso, pasando a prácticamente un 100 % en el caso de los que sí lo han utilizado, en consonancia con la literatura científica, que constata cómo ChatGPT es la herramienta más utilizada para la realización de actividades académicas (Acosta-Enriquez et al., 2024; Al Shloul et al., 2024; Strzelecki, 2023).
Estos resultados confirman la utilidad del recurso para aumentar el conocimiento de herramientas concretas. Llama la atención el aumento respecto al resto de algunas de ellas, como la herramienta de diseño gráfico Canva (de 63,92 % a 80,41 %). Puede atribuirse a su uso previo a la implementación de funcionalidades de IA, ya que era una herramienta conocida en la asignatura, como confirman estudios como el de Ruiz-Rojas et al. (2024), que destaca su impacto en actividades colaborativas. Otras herramientas con más menciones son Perplexity (de 4,47 % a 18,78 %), un motor de búsqueda que utiliza el lenguaje natural, o Dall-E (de 16,74 % a 31,84 %) herramienta para crear imágenes a partir de una descripción textual.
Una vez analizadas las diferencias en el conocimiento de la IAG entre el estudiantado, se pasa a valorar su visión sobre distintos aspectos éticos relacionados con la utilización de la IAG, dando respuesta a la tercera pregunta de investigación ¿Cuáles son los elementos éticos fundamentales para el alumnado en el uso de la IAG en el ámbito académico? En este caso, se pidió a los estudiantes que indicaran cuáles de los siguientes aspectos críticos les resultaban más preocupantes, pudiendo escoger una o más respuestas:
La Figura 4 muestra los resultados obtenidos para cada uno de los grupos de la variable Recurso:

Los aspectos que más preocupan a ambos grupos, y sobre los que apenas presentan diferencias, son el A: El desconocimiento que existe en torno a la IAG y de las consecuencias de su uso, el E: Desinformación y manipulación (deepfakes) y el C: La IAG puede crear contenido que sea engañoso u ofensivo. Este hecho se explica a partir de la alarma social que existe con base en estos aspectos (Łabuz y Nehring, 2024; Shoaib et al., 2023) abordada también en el ámbito universitario (Roe et al., 2024).
Por otro lado, los dos aspectos críticos cuya valoración presenta un mayor cambio son el B: Proporcionar mis datos a la herramienta IAG, y el D: La información que me proporciona puede estar sesgada. Se observa en ambos un aumento con la inclusión del recurso (8,90 y 9,34 puntos respectivamente). La valoración del aspecto G: No tengo claro que sea legal hacerlo es significativamente más baja en ambos grupos, por lo que, aunque en el recurso se plantean desafíos legales en cuanto a su uso, no ha tenido incidencia en este aspecto.
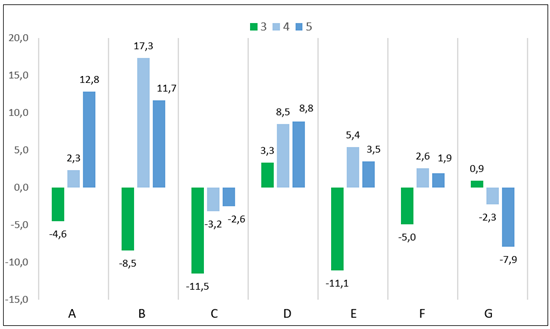
Profundizando en el análisis de la influencia del uso del recurso y la participación en el debate, la Figura 5 presenta la relación entre las variables Conocimiento y Aspectos Críticos. Al no encontrarse apenas estudiantes en los niveles 1 y 2 una vez han utilizado el recurso (ver Figura 2), el análisis se centra en las diferencias observadas entre los dos grupos (media grupo Sí - media grupo No) para los niveles 3, 4 y 5. Se observa por ejemplo que, para el grupo con un nivel de conocimiento 3, la utilización de recurso provoca una disminución de su preocupación por el aspecto crítico A en 4,6 puntos respecto a quienes no habían utilizado el recurso, mientras que aumenta en los grupos de nivel de conocimiento 4 y 5 en 2,3 y 12,8 puntos respectivamente. Este patrón se repite en los aspectos críticos B, E y F, mientras que en el aspecto crítico G se invierte. Este último dato puede quedar explicado por la formulación del aspecto G en negativo. En el aspecto D, la preocupación aumenta para todos los niveles, así que sólo los participantes del nivel 3 cambian el patrón anterior. Sobre el aspecto C (La IAG puede crear contenido que sea engañoso u ofensivo), se observa una disminución en la preocupación para todos los niveles de conocimiento, atribuible a que en este caso se les interpela como usuarios de la IA al generar su propio contenido.

Estos resultados confirman que la formación en IAG modifica significativamente la forma en la que los estudiantes universitarios se posicionan ante diferentes aspectos críticos que su uso conlleva. Para entender las causas subyacentes en el cambio del nivel de preocupación para cada uno de los aspectos críticos, sería necesario llevar a cabo un estudio en mayor profundidad.
Durante el estudio cualitativo emergieron las categorías presentadas en la Tabla 3, donde también se presenta su definición y un ejemplo de la literatura.
Así, por ejemplo, en la categoría Análisis crítico y contraste de la información (CAT 1) los participantes hablan de “Verificar la información contrastándola con otras fuentes” y en la literatura, como en Gallent-Torres et al. (2023), se constata la necesidad de que, para utilizar la IAG, se debe contar con unas competencias que permitan evaluar la calidad de los resultados.
| ID | Categoría | Definición | |
| CAT 1 | Análisis crítico y contraste de la información | Contrastar distintas fuentes y analizar críticamente la información obtenida. (Gallent-Torres et al., 2023) | |
| CAT 2 | Honestidad y propiedad intelectual | Citar el origen de la información obtenida, tanto de la aportada en texto como de las ideas utilizadas, siendo explícito con el uso hecho de la IAG. (Hadi et al., 2024) | |
| CAT 3 | Protección de datos y seguridad | No exponer datos personales, propios o ajenos, y tomar precauciones garantizando la seguridad al usar la IAG. (Kajiwara y Kawabata, 2024). | |
| CAT 4 | Responsabilidad y propósitos adecuados | Utilizar la IAG con responsabilidad y propósitos adecuados, evitando malos usos. (Jobin et al., 2019). | |
| CAT 5 | Uso de la IAG como complemento | La IAG debe ser una ayuda para realizar algunas tareas sin sustituir el proceso de aprendizaje ni la interacción humana. (Chan, 2023) | |
| CAT 6 | Conocimiento y consciencia de sus implicaciones | Formación para estudiantes y profesores en el uso e integración efectiva de IAG, incluyendo conceptos, habilidades y aspectos éticos en su creación y uso, fomentando la toma de consciencia en un entorno transparente ( Lee et al., 2024) | |
| CAT 7 | Regulación | Utilizarla con base en unas normas establecidas, bien adoptando una regulación superior, bien estableciéndose en el contexto académico correspondiente. (Parlamento Europeo, 2024) |
Se agruparon las respuestas en blanco junto a las referidas a una falta de conocimiento y las que no guardaban relación con la pregunta. En este caso se observa una disminución en casi ocho puntos porcentuales entre ambos grupos (26,5 % para el grupo No y 18,1 % para el grupo Sí) por lo que la inclusión del recurso y la realización del debate en la asignatura CTIC ha permitido mejorar el conocimiento del estudiantado sobre la IAG.
El resultado de analizar con las categorías definidas las respuestas a la pregunta “Menciona tres elementos fundamentales para utilizar la IAG de forma ética y responsable” se muestra en la Figura 6, indicando en porcentaje el número de veces que se menciona cada categoría respecto al número total de respuestas obtenidas discriminando si han utilizado el Recurso sobre IAG y han realizado la actividad de debate, o no lo han hecho.

En el estudiantado que sí ha utilizado el recurso se observa un aumento considerable en el porcentaje de tres de las categorías: CAT 1 (Análisis crítico y contraste de la información), CAT 2 (Honestidad y propiedad intelectual) y CAT 5 (Uso de la IAG como complemento), coincidiendo con la revisión de la literatura realizada por Gallent-Torres et al. (2023) donde se analizan publicaciones relacionadas con experiencias pedagógicas para potenciar el uso ético de la IAG en la ES (Kong et al., 2023). Para el resto de categorías las diferencias se sitúan en un rango muy pequeño de (0,4 - 3,7) puntos porcentuales.
En ambos grupos las categorías más mencionadas son CAT 2 (Honestidad y propiedad intelectual) y CAT 1 (Análisis crítico y contraste de la información), así como las tres menos mencionadas CAT 3 (Protección de datos y seguridad), CAT 6 (Conocimiento y consciencia de sus implicaciones) y CAT 7 (Regulación). La tercera categoría más mencionada en el grupo Sí es CAT 5 (Uso de la IAG como complemento), siendo CAT 4 (Responsabilidad y propósitos adecuados) en el grupo No.
Se discuten ahora, por orden de mayor a menor valoración media, las categorías representadas en la Figura 6 complementadas con los testimonios del estudiantado a partir de sus intervenciones en la actividad de debate del caso práctico, e indicadas como est. 1, etc.
La categoría más mencionada en ambos grupos es CAT 2: Honestidad y propiedad intelectual (M Sí = 45,74 %, M No = 28,41 %, dif. = 17,33 puntos). El plagio, consistente en dar como propia una creación ajena sin citar la fuente, es una de las mayores preocupaciones del profesorado concernientes al uso de la IAG en ES (Lee et al., 2024). Los estudios sobre la relación del alumnado con el plagio son insuficientes (Gallent-Torres et al., 2023) pero sí reflejan lo generalizado que está y, en menor medida, la preocupación por sus consecuencias (Sullivan et al., 2023).
Como estrategias para minimizar el plagio en la universidad, se mencionan la formación ( Cebrián-Robles et al., 2018), o la integración del uso ético de la IAG en los propios planes de estudio (Kajiwara y Kawabata, 2024; Lim et al., 2023), estrategia que también se menciona en los debates que el alumnado de esta universidad mantuvo: “fomentar un enfoque equilibrado que promueva su utilización ética y responsable, junto con la formación adecuada para estudiantes y profesores sobre cómo utilizarla de manera efectiva” (est. 25).
La segunda categoría más mencionada es CAT 1: Análisis crítico y contraste de la información (M Sí = 44,57 %, M No = 27,58 %, dif. = 16,99 puntos). El aumento de casi 17 puntos entre quienes sí utilizaron el recurso y quienes no, revela cómo los estudiantes eran menos conscientes del papel proactivo que requiere el uso de la IAG. En los debates este es uno de los elementos que se menciona con más frecuencia, también en relación con el pensamiento crítico: “se debe fomentar el aprendizaje activo y la creatividad entre los estudiantes… la realización de actividades que requieran pensamiento crítico” (est. 54). Siendo el pensamiento crítico una de las competencias clave para el siglo XXI (Martínez-Bravo et al., 2021), la problemática suscitada por la irrupción de la IAG refuerza su importancia.
La tercera categoría más mencionada en el grupo Sí recurso, con una diferencia relevante entre ambos grupos es CAT 5: Uso de la IAG como complemento. (M Sí = 33,72 %, M No = 19,64 %, dif. = 14,08 puntos). Esta categoría está muy ligada a las dos categorías analizadas anteriormente, como muestran estas dos citas extraídas de los debates entre el alumnado: “es esencial que los estudiantes entiendan que la IA debe ser utilizada como un complemento, no como un reemplazo de su propio pensamiento crítico y creativo” (est. 23,) o “soy la primera en utilizar herramientas de IA para ampliar información, pero sólo como información complementaria” (est. 8). Un enfoque positivo de esta categoría es aprovechar la capacidad de la IAG para agilizar muchas de las tareas: generación de lluvia de ideas sobre un tema, traducciones, herramientas de autoaprendizaje, etc. (Andión y Cárdenas, 2023).
Se comentan a continuación brevemente los resultados del resto de categorías, en las que las diferencias entre ambos grupos son pequeñas:
La valoración relativamente alta de la categoría Responsabilidad y propósitos adecuados (CAT 4) habla de una conciencia social en ambos grupos sobre la finalidad con la que se utiliza lAG y la propia responsabilidad, que no ha sido influida por la utilización del recurso o el debate, y que sí se menciona en el plan docente de la asignatura: “ha realizado un mal uso de la IA, el plan docente es claro con respecto a esta cuestión y él no lo ha tenido en consideración” (est. 2).
Sorprende sin embargo la baja mención de la Protección de datos y seguridad (CAT 3), dada la sensibilidad social sobre este aspecto.
Las categorías menos destacadas, Conocimiento y consciencia de sus implicaciones (CAT 6) y Regulación (CAT 7), pueden entenderse como elementos externos al usuario. Aunque en el caso presentado y en los propios debates se menciona el cumplimiento de la normativa existente: “es necesario avanzar sobre su uso mediante normativas y regulaciones” (est. 11), la categoría “Regulación” se refiere a la demanda de más control institucional y no a una implicación ética de los usuarios.
CONCLUSIONES
Los resultados presentados en este trabajo reflejan que el tratamiento conferido a la IAG en la asignatura contribuye significativamente a aumentar el conocimiento del estudiantado. Se validan tanto el recurso como la actividad reflexiva de debate a partir de un caso práctico, ratificándolos como estrategias útiles.
En cuanto a las variables que influyen en el conocimiento del estudiantado sobre la IAG, puede señalarse que la edad y el nivel formativo previo no tienen impacto estadísticamente significativo. Sin embargo, la disciplina de estudio sí que influye de forma relevante, destacando las ingenierías del ámbito informático y las humanidades frente a áreas como psicología y educación. Estos resultados subrayan la necesidad de adaptar el enfoque sobre la IAG a disciplinas específicas, especialmente en aquellas menos familiarizadas con esta tecnología, para hacer consciente a todo el estudiantado del potencial y los riesgos de la IAG en el ámbito académico.
La formación implementada ha incrementado de manera generalizada el grado de conciencia y conocimiento del estudiantado sobre los aspectos críticos que el uso de la IAG conlleva en el ámbito académico. Este aspecto se observa especialmente en cuestiones como la honestidad intelectual y el uso responsable de estas herramientas. No obstante, los estudiantes no manifestaron preocupación significativa por los desafíos legales asociados al uso de la IAG.
A raíz de los resultados presentados, y desde el punto de vista de su aplicación práctica, se hace necesario un rediseño de las actividades de la asignatura. En primer lugar, se identifica la necesidad de evolucionar el caso práctico objeto de debate, incorporando explícitamente algún aspecto crítico en el ámbito legal. En segundo lugar, es necesario diseñar una actividad de análisis colaborativa de los términos y condiciones de las aplicaciones de IAG, con el fin de reflexionar sobre las implicaciones legales de su uso (como, por ejemplo, la gestión de sus datos). Y, en tercer lugar, con la finalidad de que el estudiantado utilice la IAG de forma estructurada, se planteará la realización de parte de las búsquedas de información con una de estas herramientas, de tal manera que apliquen y reflexionen sobre cómo afecta al proceso de producción académica. Cabe decir que las tres propuestas se implementarán en el próximo semestre.
Las principales limitaciones del estudio son el posible sesgo de la muestra, al ser una participación voluntaria, y el desbalance de la relación muestra/población entre el grupo que sí accedió al recurso y el que no lo hizo, aunque ambas limitaciones se atenúan con el amplio número de respuestas. El estudio se ha realizado en un contexto concreto, por lo que su generalización queda supeditada a realizar estudios similares en otros ámbitos, como podrían ser la educación secundaria o universidades presenciales.
En cuanto a las líneas de investigación futuras, parece pertinente explorar con mayor profundidad las diferencias observadas por disciplina de estudios, además de analizar las causas en las diferencias observadas en el grado de percepción sobre los aspectos críticos y éticos del uso académico de la IAG.
También sería relevante investigar cómo la irrupción de estas herramientas influye en la adquisición de las competencias digitales por parte del estudiantado, añadiendo instrumentos de evaluación objetivos de su aprendizaje como instrumento de investigación.
Otra línea de investigación incluiría el estudio de las percepciones del profesorado de la asignatura para detectar sus preocupaciones y mejorar la calidad de su tarea docente.
En definitiva, y considerando el poco tiempo transcurrido desde la irrupción generalizada de la IAG, los resultados permiten avanzar en un nuevo marco para ayudar a evolucionar la enseñanza y aprendizaje del uso de la IAG y sus implicaciones a través de una asignatura de una universidad en línea, mediante un modelo metodológico validado.
REFERENCIAS
Acosta-Enriquez, B. G., Arbulú Ballesteros, M. A., Huamaní Jordan, O., López Roca, C. y Saavedra Tirado, K. (2024). Analysis of college students' attitudes toward the use of ChatGPT in their academic activities: effect of intent to use, verification of information and responsible use. BMC Psychology, 12(1), 1-18. https://doi.org/10.1186/s40359-024-01764-z
Al Shloul, T., Mazhar, T., Abbas, Q., Iqbal, M., Ghadi, Y. Y., Shahzad, T., Mallek, F. y Hamam, H. (2024). Role of activity-based learning and ChatGPT on students' performance in education. Computers and Education: Artificial Intelligence, 6, 100219. https://doi.org/10.1016/j.caeai.2024.100219
Andión, M. y Cárdenas, D. I. (2023). Convivir con inteligencias artificiales en la educación superior: Retos y estrategias. Perfiles Educativos, 45(Especial), 56-69. https://doi.org/10.22201/iisue.24486167e.2023.Especial.61691
Bonilla-García, M. Á. y López-Suárez, A. D. (2016). Ejemplificación del proceso metodológico de la teoría fundamentada. Cinta de Moebio, (57), 305-315. https://doi.org/10.4067/S0717-554X2016000300006
Cebrián-Robles, V., Raposo-Rivas, M., Cebrián-de-la-Serna, M. y Sarmiento-Campos, J. A. (2018). Percepción sobre el plagio académico de estudiantes universitarios españoles. Educación XX1, 21(2), 105-129. https://doi.org/10.5944/educxx1.20062
Chan, C. K. Y. (2023). A comprehensive AI policy education framework for university teaching and learning. International Journal of Educational Technology in Higher Education, 20(1), 1-25. https://doi.org/10.1186/s41239-023-00408-3
Chan, C. K. Y. y Tsi, L. H. Y. (2024). Will generative AI replace teachers in higher education? A study of teacher and student perceptions. Studies in Educational Evaluation, 83, 101395. https://doi.org/10.1016/j.stueduc.2024.101395
Chui, M., Hazan, E., Roberts, R., Singla, A., Smaje, K., Sukharevsky, A. Yee, L. y Zemmel, R. (2023). The economic potential of generative AI: The next productivity frontier. McKinsey Global Institute. http://dln.jaipuria.ac.in:8080/jspui/bitstream/123456789/14313/1/The-economic-potential-of-generative-ai-the-next-productivity-frontier.pdf
Cotton, D. R. E., Cotton, P. A. y Shipway, J. R. (2024). Chatting and cheating: Ensuring academic integrity in the era of ChatGPT. Innovations in Education and Teaching International, 61(2), 228-239. https://doi.org/10.1080/14703297.2023.2190148
Creswell, J. W. (2014). Research design: Qualitative, quantitative, and mixed methods approaches (4th ed.). SAGE Publications.
Cruz Argudo, F., García Varea, I., Martínez Carrascal, J. A., Ruiz Martínez, A., Ruiz Martínez, P. M., Sánchez Campos, A. y Turró Ribalta, C. (2024). La Inteligencia Artificial Generativa en la docencia universitaria: Oportunidades, desafíos y recomendaciones. Crue Universidades Españolas. https://www.crue.org/wp-content/uploads/2024/03/Crue-Digitalizacion_IA-Generativa.pdf
Farahani, M. y Ghasemi, G. (2024). Artificial Intelligence and Inequality: Challenges and Opportunities. International Journal of Innovation in Education, 9, 78-99. https://doi.org/10.32388/7hwuz2
Frey, C. B. y Osborne, M. (2023). Generative AI and the Future of Work: A Reappraisal. The Brown Journal of World Affairs, XXX(1). https://bjwa.brown.edu/30-1/generative-ai-and-the-future-of-work-a-reappraisal/
Gallent-Torres, C., Zapata-González, A. y Ortego-Hernando, J. L. (2023). El impacto de la inteligencia artificial generativa en la educación superior: una mirada desde la ética y la integridad académica. RELIEVE, 29(2), art. M5. https://doi.org/10.30827/relieve.v29i2.29134
García-Peñalvo, F. J., Llorens-Largo, F. y Vidal, J. (2024). La nueva realidad de la educación ante los avances de la inteligencia artificial generativa. RIED-Revista Iberoamericana de Educación a Distancia, 27(1), 9-39. https://doi.org/10.5944/ried.27.1.37716
Grassini, S. (2023). Shaping the Future of Education: Exploring the Potential and Consequences of AI and ChatGPT in Educational Settings. Education Sciences, 13(7), 692. https://doi.org/10.3390/educsci13070692
Hadi, M. U., Tashi, Qasem Al, Qureshi, R., Shah, A., Muneer, Amgad, Irfan, M., Zafar, A., Shaikh, M. B., Akhtar, N., Wu, J. y Mirjalili, S. (2024). A Survey on Large Language Models: Applications, Challenges, Limitations, and Practical Usage [Preprint]. TechRxiv. https://doi.org/10.36227/techrxiv.23589741.v1
Huang, J., Shen, G. y Xiping, R. (2021). Connotation Analysis and Paradigm Shift of Teaching Design under Artificial Intelligence Technology. International Journal of Emerging Technologies in Learning, 16(5), 73-86. https://doi.org/10.3991/ijet.v16i05.20287
Hwang, G. J. y Chen, N. S. (2023). Editorial Position Paper: Exploring the Potential of Generative Artificial Intelligence in Education: Applications, Challenges, and Future Research Directions. Educational Technology and Society, 26(2). https://doi.org/10.30191/ETS.202304_26(2).0014
Jarrahi, M. H., Askay, D., Eshraghi, A. y Smith, P. (2023). Artificial intelligence and knowledge management: A partnership between human and AI. Business Horizons, 66(1), 87-99. https://doi.org/10.1016/j.bushor.2022.03.002
Jobin, A., Ienca, M. y Vayena, E. (2019). The global landscape of AI ethics guidelines. Nature Machine Intelligence, 1, 389-399. https://doi.org/10.1038/s42256-019-0088-2
Johnston, H., Wells, R. F., Shanks, E. M., Boey, T. y Parsons, B. N. (2024). Student perspectives on the use of generative artificial intelligence technologies in higher education. International Journal for Educational Integrity, 20(1), 1-21. https://doi.org/10.1007/s40979-024-00149-4
Kajiwara, Y. y Kawabata, K. (2024). AI literacy for ethical use of chatbot: Will students accept AI ethics? Computers and Education: Artificial Intelligence, 6, 100251. https://doi.org/10.1016/j.caeai.2024.100251
Kanont, K., Pingmuang, P., Simasathien, T., Wisnuwong, S., Wiwatsiripong, B., Poonpirome, K., Songkram, N. y Khlaisang, J. (2024). Generative-AI, a Learning Assistant? Factors Influencing Higher-Ed Students' Technology Acceptance. Electronic Journal of E-Learning, 22(6 Special Issue), 18-33. https://doi.org/10.34190/ejel.22.6.3196
Kaya, F., Aydin, F., Schepman, A., Rodway, P. yetişensoy, O. y Demir Kaya, M. (2024). The Roles of Personality Traits, AI Anxiety, and Demographic Factors in Attitudes toward Artificial Intelligence. International Journal of Human-Computer Interaction, 40(2), 497-514. https://doi.org/10.1080/10447318.2022.2151730
Kong, S.-C., Cheung, W. M.-Y. y Zhang, G. (2023). Evaluating an Artificial Intelligence Literacy Programme for Developing University Students' Conceptual Understanding, Literacy, Empowerment and Ethical Awareness. Educational Technology & Society, 26(1), 16-30. https://doi.org/10.30191/ETS.202301_26(1).0002
Łabuz, M. y Nehring, C. (2024). Information apocalypse or overblown fears-what AI mis- and disinformation is all about? Shifting away from technology toward human reactions. Politics and Policy, 52(4), 874-891. https://doi.org/10.1111/polp.12617
Lee, D., Arnold, M., Srivastava, A., Plastow, K., Strelan, P., Ploeckl, F. y Palmer, E. (2024). The impact of generative AI on higher education learning and teaching: A study of educators' perspectives. Computers and Education: Artificial Intelligence, 6, 100221. https://doi.org/10.1016/j.caeai.2024.100221
Lim, W. M., Gunasekara, A., Pallant, J. L., Pallant, J. I. y Pechenkina, E. (2023). Generative AI and the future of education: Ragnarök or reformation? A paradoxical perspective from management educators. The International Journal of Management Education, 21(2), 1-13. https://doi.org/10.1016/j.ijme.2023.100790
Martínez-Bravo, M. C., Sádaba Chalezquer, C. y Serrano-Puche, J. (2021). Meta-marco de la alfabetización digital: análisis comparado de marcos de competencias del Siglo XXI. Revista Latina de Comunicación Social, 79, 76-110. https://doi.org/10.4185/RLCS-2021-1508
Mohamed, A. M., Shaaban, T. S., Bakry, S. H., Guillén-Gámez, F. D. y Strzelecki, A. (2024). Empowering the Faculty of Education Students: Applying AI's Potential for Motivating and Enhancing Learning. Innovative Higher Education, 1-23. https://doi.org/10.1007/s10755-024-09747-z
Newell, S. J. (2023). Employing the interactive oral to mitigate threats to academic integrity from ChatGPT. Scholarship of Teaching and Learning in Psychology. https://doi.org/10.1037/stl0000371
Parlamento Europeo. (2024). Reglamento de Inteligencia Artificial (2024/0138(COD)). https://www.europarl.europa.eu/doceo/document/TA-9-2024-0138_ES.pdf
Ponce del Castillo, A. (2024). Exposing generative AI: Human-Dependent, Legally Uncertain, Environmentally Unsustainable [Preprint]. SSRN Electronic Journal. https://doi.org/10.2139/ssrn.4975411
Pragya, A. (2024). Generative AI and epistemic diversity of its inputs and outputs: call for further scrutiny. AI and Society, 1-2. https://doi.org/10.1007/s00146-024-02097-6
Rahman, M. M. y Watanobe, Y. (2023). ChatGPT for Education and Research: Opportunities, Threats, and Strategies. Applied Sciences, 13(9), 5783. https://doi.org/10.3390/app13095783
Raman, R., Kumar Nair, V., Nedungadi, P., Kumar Sahu, A., Kowalski, R., Ramanathan, S. y Achuthan, K. (2024). Fake news research trends, linkages to generative artificial intelligence and sustainable development goals. Heliyon, 10(3), e24727. https://doi.org/10.1016/j.heliyon.2024.e24727
Rane, N., Choudhary, S. y Rane, J. (2024). Contribution of ChatGPT and Similar Generative Artificial Intelligence for Enhanced Climate Change Mitigation Strategies [Preprint]. SSRN Electronic Journal. https://doi.org/10.2139/ssrn.4681720
Roe, J., Perkins, M. y Furze, L. (2024). Deepfakes and Higher Education: A Research Agenda and Scoping Review of Synthetic Media. Journal of University Teaching and Learning Practice, 1-22. https://doi.org/10.53761/2y2np178
Romero Carbonell, M., Romeu Fontanillas, T., Guitert Catasús, M. y Baztán Quemada, P. (2024). Validation of the OCPBL model for online collaborative project-based learning [Validación del modelo ABPCL para el aprendizaje basado en proyectos colaborativos en línea]. RIED-Revista Iberoamericana de Educación a Distancia, 27(2), 159-181. https://doi.org/10.5944/ried.27.2.39120
Ruiz Mendoza, K. K., Miramontes Arteaga, M. A. y Reyna García, C. (2024). Percepciones y expectativas de estudiantes universitarios sobre la IAG. European Public & Social Innovation Review, 9, 1-21. https://doi.org/10.31637/epsir-2024-357
Ruiz-Rojas, L. I., Salvador-Ullauri, L. y Acosta-Vargas, P. (2024). Collaborative Working and Critical Thinking: Adoption of Generative Artificial Intelligence Tools in Higher Education. Sustainability, 16(13), 5367. https://doi.org/10.3390/su16135367
Ruschemeier, H. (2024). Generative AI and Data Protection. En C. Poncibo, M. Ebers, R. Calo, y M. Zou (Eds.), Handbook on Generative AI and the Law (pp. 1-18). Cambridge University Press. https://doi.org/10.1017/cfl.2024.2
Sebastià, I. (2024). Inteligencia artificial generativa. Universitat Oberta de Catalunya. https://iag.recursos.uoc.edu/es/
Shahzad, M. F., Xu, S. y Asif, M. (2024). Factors affecting generative artificial intelligence, such as ChatGPT, use in higher education: An application of technology acceptance model. British Educational Research Journal, 1-25. https://doi.org/10.1002/berj.4084
Shi, Y. (2023). Study on security risks and legal regulations of generative artificial intelligence. Science of Law Journal, 2(11), 17-23. https://doi.org/10.23977/law.2023.021104
Shoaib, M. R., Wang, Z., Ahvanooey, M. T. y Zhao, J. (2023). Deepfakes, Misinformation, and Disinformation in the Era of Frontier AI, Generative AI, and Large AI Models. ICCA 2023 - 2023 5th International Conference on Computer and Applications, Proceedings. https://doi.org/10.1109/ICCA59364.2023.10401723
Stöhr, C., Ou, A. W. y Malmström, H. (2024). Perceptions and usage of AI chatbots among students in higher education across genders, academic levels and fields of study. Computers and Education: Artificial Intelligence, 7, 100259. https://doi.org/10.1016/j.caeai.2024.100259
Strzelecki, A. (2023). To use or not to use ChatGPT in higher education? A study of students' acceptance and use of technology. Interactive Learning Environments, 32(9), 5142-5155. https://doi.org/10.1080/10494820.2023.2209881
Sullivan, M., Kelly, A. y McLaughlan, P. (2023). ChatGPT in higher education: Considerations for academic integrity and student learning. Journal of Applied Learning & Teaching, 6(1), 1-10. https://doi.org/10.37074/jalt.2023.6.1.17
UNESCO. (2019). Beijing Consensus on Artificial Intelligence and Education. https://unesdoc.unesco.org/ark:/48223/pf0000368303
UNESCO. (2021a). Ethics of Artificial Intelligence: The Recommendation. https://www.unesco.org/en/artificial-intelligence/recommendation-ethics?hub=32618
UNESCO. (2021b). Inteligencia artificial y educación: guía para las personas a cargo de formular políticas. https://unesdoc.unesco.org/ark:/48223/pf0000379376
UNESCO. (2023). Guidance for generative AI in education and research. https://www.unesco.org/en/articles/guidance-generative-ai-education-and-research
Wach, K., Duong, C. D., Ejdys, J., Kazlauskaitė, R., Korzynski, P., Mazurek, G., Paliszkiewicz, J. y Ziemba, E. (2023). The dark side of generative artificial intelligence: A critical analysis of controversies and risks of ChatGPT. Entrepreneurial Business and Economics Review, 11(2), 7-30. https://doi.org/10.15678/EBER.2023.110201
Wang, L. y Li, W. (2024). The Impact of AI Usage on University Students' Willingness for Autonomous Learning. Behavioral Sciences, 14(10), 956. https://doi.org/10.3390/bs14100956
Wang, X. y Lei, L. (2024). A Path Study of Generative Artificial Intelligence Enabling Online Education Platforms in Colleges and Universities. Proceedings of the 2024 International Symposium on Artificial Intelligence for Education, 332-338. https://doi.org/10.1145/3700297.3700354
Wilmers, N. (2024). Generative AI and the Future of Inequality. An MIT Exploration of Generative AI. MIT. https://doi.org/10.21428/e4baedd9.777b7123
Zarifhonarvar, A. (2024). Economics of ChatGPT: a labor market view on the occupational impact of artificial intelligence. Journal of Electronic Business & Digital Economics, 3(2), 100-116. https://doi.org/10.1108/jebde-10-2023-0021
Zhou, Y., Zhou, Y. y Machtmes, K. (2024). Mixed methods integration strategies used in education: A systematic review. Methodological Innovations, 17(1), 41-49. https://doi.org/10.1177/20597991231217937