Estudios e investigaciones
Educación a distancia, transformar realidades: una mirada en ambientes inseguros
Distance Education, transforming realities: a look at insecure environments
Educación a distancia, transformar realidades: una mirada en ambientes inseguros
RIED-Revista Iberoamericana de Educación a Distancia, vol. 27, núm. 2, 2024
Asociación Iberoamericana de Educación Superior a Distancia

Cómo citar: Moncada Mora, L., Songor Jaramillo, X., & Cornejo Montaño, G. (2024). Distance Education, transforming realities: a look at insecure environments. [Educación a Distancia, transformar
realidades: una mirada en ambientes inseguros]. RIED-Revista Iberoamericana de Educación a Distancia, 27(2), pp. 247-265. https://doi.org/10.5944/ried.27.2.39134
Resumen: América Latina enfrenta desafíos persistentes relacionados con altas tasas de delitos, creando un entorno marcado por la violencia y la inseguridad. Ecuador ha experimentado un aumento significativo en la violencia en los últimos años, convirtiéndose en uno de los países más peligrosos de la región. Este estudio aborda cómo la inseguridad y la criminalidad influyen en la tasa de matriculación en estudios superiores a nivel de grado, específicamente en la Universidad Técnica Particular de Loja (UTPL), examinando la forma en la que la Educación a Distancia (EaD) se convierte en una opción más segura y atractiva en zonas afectadas por altos índices de inseguridad. Se utilizan datos del número de estudiantes en el sistema de EaD proporcionados por el Vicerrectorado de Modalidad a Distancia de la UTPL, además de datos de homicidios por provincia entre 2019 y 2022 obtenidos del Ministerio del Interior de Ecuador. También, se considera el Valor Agregado Bruto (VAB) del sector de Enseñanza Superior, como variable de control. Como estrategia econométrica se utilizó principalmente el análisis multinivel y regresiones para datos de panel, las cuales confirman la hipótesis planteada: la tasa de homicidios tiene un efecto positivo en las matriculaciones en el sistema de EaD de la UTPL a nivel provincial. Estos hallazgos permitieron inferir la influencia significativa de la inseguridad y la violencia en las decisiones educativas de los estudiantes, motivando la elección de modalidades educativas más seguras, como es la de estudios a distancia.
Palabras clave: enseñanza a distancia, enseñanza superior, análisis cuantitativo, violencia.
Abstract: Latin America faces persistent challenges related to high crime rates, creating an environment marked by violence and insecurity. Ecuador has experienced a significant increase in violence in recent years, making it one of the most dangerous countries in the region. This study addresses how insecurity and crime influence enrollment rates in higher education at the undergraduate level, specifically at the Universidad Técnica Particular de Loja (UTPL), by examining how distance education (DE) becomes a safer and more attractive option in areas affected by high rates of insecurity. We use data on the number of students in the DE system provided by the Vice Rectorate of Distance Modality of the UTPL, in addition to homicide data by province between 2019 and 2022 obtained from the Ministry of the Interior of Ecuador. Also, the Gross Value Added (GVA) of the Higher Education sector is considered as a control variable. As an econometric strategy, we used multilevel analysis and regressions for panel data, which confirm the hypothesis put forward: the homicide rate has a positive effect on enrollments in the UTPL's DE system at the provincial level. These findings allowed inferring the significant influence of insecurity and violence on students' educational decisions, motivating the choice of safer educational modalities, such as distance learning.
Keywords: distance learning, higher education, quantitative analysis, violence.
INTRODUCCIÓN
América Latina es una región que enfrenta persistentes desafíos relacionados con la inseguridad y la criminalidad. Las altas tasas de delitos como el robo, el asalto y el narcotráfico han contribuido a la creación de un ambiente marcado por la violencia y la inseguridad en comparación con otras partes del mundo (Niño, 2020). Las consecuencias de esta violencia y los conflictos para el desarrollo son profundas y afectan a millones de personas en la región (Dammert, 2010; Banco Mundial, 2011).
Este problema se refleja en un índice de criminalidad de América del Sur de 5,51/10, que incluye una alta puntuación de 5,19/10 en el mercado criminal y una fuerte influencia de las estructuras criminales en las instituciones de seguridad o control estatal, con una puntuación de 6,63/10 (Observatorio Ecuatoriano de Crimen Organizado, 2022). De acuerdo con ello, este índice sugiere una conexión entre la corrupción y las dinámicas del crimen organizado en la región. Además, se destaca que América del Sur y Centroamérica se encuentran entre las cinco principales regiones del mundo con mayores registros de criminalidad (Observatorio Ecuatoriano de Crimen Organizado, 2022).
La desigualdad económica prevaleciente en la región agudiza la inseguridad. Esta desigualdad a menudo resulta en la concentración de la pobreza en áreas urbanas, donde la falta de oportunidades puede convertirse en un caldo de cultivo para la delincuencia (Vuanello, 2009). Además, varios países latinoamericanos han enfrentado problemas de seguridad relacionados con el narcotráfico y las pandillas, lo que ha generado preocupaciones significativas y ha erosionado la calidad de vida en las comunidades afectadas (Cieza, 2009). La corrupción y la falta de eficacia en la aplicación de la ley en algunos países también han minado la confianza en las instituciones encargadas de mantener la seguridad pública. En este contexto, la inseguridad, la violencia y el crimen han dejado una marca profunda en la región, con consecuencias que trascienden varios aspectos de la vida cotidiana, incluida la educación (Furlán, 2012).
Contexto ecuatoriano
En el caso específico de Ecuador, se ha observado un fenómeno particularmente crítico en los últimos años, ya que el país ha experimentado un mayor crecimiento de los mercados criminales de la región, dentro del ranking de criminalidad mundial conserva una tasa del 7,07, pasando del puesto 35 en el 2021, al 11 en el 2023 (Global Organized Crime Index, 2023). Según datos proporcionados por la Policía Nacional de Ecuador, entre enero y junio del año 2023 se han registrado más de 3513 asesinatos en todo el territorio (Mella, 2023a). Además, en 2022 la tasa de homicidios en el país alcanzó casi 26 personas por cada 100 mil habitantes, según el portal de datos Statista (Chevalier, 2023). Estas cifras son alarmantes y muestran un cambio drástico en la seguridad en un corto período de tiempo, dado que Ecuador pasó de ser uno de los países más seguros de la región a experimentar un aumento significativo en su tasa de homicidios, multiplicándola por cinco en tan solo siete años. En estas circunstancias poco favorables, se pronostica que Ecuador cerrará el año 2023 con una tasa de homicidios de 40 por cada 100 mil habitantes, situándose como el país más violento de la región (Mella, 2023a).
Estos datos revelan que Ecuador está atravesando una de las peores crisis de inseguridad de su historia reciente. Durante el primer semestre de 2023, se ha registrado un aumento del 74 % en el número de muertes violentas en el país (Coba, 2023). Este aumento en la violencia, impulsado principalmente por la actividad del crimen organizado vinculado a los carteles de droga, ha colocado a Ecuador en una posición alarmante dentro del contexto latinoamericano. El país exhibe algunos de los índices de homicidios más altos en la región, lo que representa un desafío significativo para la seguridad pública y la calidad de vida de sus ciudadanos. Paulina Recalde informa que, en 2022 el 22 % de la población consideraba la inseguridad como el principal problema del país y para 2023 este porcentaje ha aumentado al 60 % (López, 2023).
La pobreza, inseguridad y violencia en Ecuador no solo se limitan a afectar la vida diaria de sus ciudadanos, sino que a su vez inciden de manera sustancial en la educación en todos los niveles (ONU, 2023). Los estudiantes que atraviesan por estas circunstancias enfrentan considerables obstáculos para continuar con sus estudios en un entorno marcado por el temor y la incertidumbre (Becker, 2012). Esta inseguridad no solo se manifiesta en el aumento de la delincuencia, sino que también socava la confianza de la sociedad en las instituciones y políticas públicas encargadas de garantizar su seguridad.
Actualmente, la inseguridad se ha convertido en uno de los mayores desafíos que afronta el sistema educativo en Ecuador. Esta problemática afecta a jóvenes de diversos grupos demográficos, incluyendo edad, género y estratos sociales y tiene repercusiones no solo en el ámbito educativo, pues impacta del mismo modo en el ámbito económico y social que trascienden a toda la sociedad (Toscano, 2023). Debido a la falta de recursos económicos en las regiones Sierra y Amazonía, cerca de 40,000 estudiantes no retornaron a las aulas en el nuevo año escolar de 2023. En la región Costa, más allá de la pobreza, el retorno a clases virtuales se ha convertido en una prioridad debido a la persistente violencia e inseguridad que han marcado la regularidad escolar (La Hora, 2023).
La escalada de violencia desencadenada en Ecuador ha llevado a tomar drásticas medidas por parte del gobierno, por ejemplo, en Durán, una ciudad de la costa ecuatoriana, a más de 30 mil estudiantes de 34 escuelas se les privó de clases presenciales; esta decisión fue tomada por el Ministerio de Educación tras una ola de delincuencia incontrolable que ha azotado a esta parte del país ( Ministerio de Educación del Ecuador, 2023). Hasta septiembre de 2023 se han reportado 5,320 crímenes violentos, de los cuales 1,900 tuvieron lugar en las ciudades de Guayaquil y Durán (Mella, 2023b). La policía ha identificado que, en la zona más peligrosa de Guayaquil, específicamente en el sector Nueva Prosperina, el 16 % de los alumnos mantienen vínculos con grupos delictivos, de acuerdo con Roberto Santamaría, jefe del Distrito Nueva Prosperina, esta situación afecta a más de 200 estudiantes por cada institución educativa del sector (Mella, 2023b). De esta manera, se evidencia el impacto profundo que la inseguridad y la violencia tiene en la educación, provocando un cambio significativo en las dinámicas de aprendizaje y un éxodo de estudiantes hacia modalidades educativas más seguras, como la Educación a Distancia.
Factores que impactan en la continuidad de estudios universitarios
Es esencial destacar cómo la matrícula en la educación superior está influenciada por una variedad de factores sociales, económicos y personales. Estos factores van más allá de los convencionales como los ingresos monetarios, los exámenes de acceso nacionales o la cobertura geográfica, pues también incluyen las condiciones personales y la realidad que los estudiantes enfrentan en su entorno. Díaz (2008) detalla los estudios relevantes surgidos de este tema, así como las variables que pueden guiar el análisis de este indicador, abarcando aspectos individuales, académicos, institucionales y socioeconómicos.
Con relación a ello, existen diversos modelos de análisis sobre la continuidad de los estudios de los alumnos. Por ejemplo, Bean (1980), basándose en Tinto (1975), sostiene que inciden en la deserción los siguientes factores: académicos (antecedentes educativos, integración y desempeño académicos), psicosociales (metas, percepción de utilidad, interacción con pares y docentes), ambientales (financiamiento, oportunidades de transferencia, relaciones sociales externas) y de socialización (rendimiento académico, adaptación y compromiso institucional). Además de estos factores, numerosos estudios han investigado otras variables relevantes como la adaptación al entorno educativo (Spady, 1970), el ambiente familiar y el rendimiento académico (Fishbein y Ajzen, 1975; Ethington, 1990), el nivel socioeconómico de los estudiantes y su integración académica y social (Pascarella y Terenzini, 1980), entre otros aspectos que contribuyen a comprender la complejidad de la matriculación universitaria (Tinto, 1987; John et al., 2000; Bernal et al., 2000; Tabbodi et al., 2015; Zapata y Perneth, 2016).
Por otro lado, dentro de los factores que pueden incidir en la permanencia de los estudiantes en la educación superior se debe tener en cuenta el comportamiento cíclico de la economía ecuatoriana y su relación con la matriculación universitaria. Como lo señala Roblez (2019) y, respaldado por estudios previos, la relación contracíclica entre la matrícula y los indicadores macroeconómicos no es generalizable a países fuera de la OCDE, como es el caso de Ecuador. Aquí, la relación entre la economía y la matrícula tiende a ser cíclica, influenciada por la estructura del mercado laboral y la calidad de las instituciones educativas. Esta dinámica económica puede explicar en parte la preferencia por la educación a distancia en momentos de crisis, es decir, se genera un incremento de inscripciones tanto en periodos de expansión como de contracción económica (Seaman et al., 2018).
Rol de la inseguridad en la educación
Dentro de este contexto, es válido mencionar que la inseguridad está definida como la sensación de vulnerabilidad y miedo, tiene múltiples connotaciones como la ausencia de protección, la incertidumbre y la exposición al riesgo (Achumba et al., 2013; Hassan, 2014; Adams et al., 2021; Ologele y Fatimah, 2023). Esta problemática no conoce fronteras y afecta a países como Estados Unidos y el Reino Unido, desafiando constantemente la idea de una "paz perfecta" en materia de seguridad nacional ( Cooley, 2011). Mori et al. (2004) señalan cómo la inseguridad socava la prestación de servicios de salud, impactando directamente en el bienestar de las personas.
La seguridad es un pilar crucial para el bienestar físico, mental y social; sin ella, la sociedad se sumerge en un estado de miedo y peligro constante (Meddings, 2001; Coupland, 2007). Esta noción de seguridad no solo es vital para la salud humana, sino también para la estabilidad social y el desarrollo continuo de la sociedad (Olamosu, 2000).
En el ámbito educativo la seguridad a su vez desempeña un papel fundamental. Hirschi (2002) enfatiza la trascendencia de la educación como elemento de control social, ofreciendo una estructura y supervisión que desalientan la participación en actividades delictivas. Asimismo, Gottfredson y Hirschi (1990) sugieren que el autocontrol y el compromiso con la escuela son factores determinantes para prevenir el comportamiento delictivo y reducir los índices de inseguridad que amenazan la estabilidad de una región o localidad.
En contextos de creciente inseguridad, la carencia de un ambiente escolar seguro puede exponer a los estudiantes a un mayor riesgo de involucrarse en actividades criminales. De acuerdo con la teoría del social bonding o vínculo social, presentada por Hirschi (2002), el comportamiento delictivo surge cuando la conexión entre un individuo y la sociedad se debilita o se rompe (Cueto, 2022). Es fundamental reconocer cómo la seguridad educativa influye en la percepción de los estudiantes sobre su entorno y cómo esta percepción afecta su participación en actividades delictivas en comunidades que evidencian altos índices de inseguridad.
Ante estos desafíos, se han observado cambios significativos en la educación, especialmente en áreas que se ven fuertemente impactadas por altos índices de inseguridad. En Nigeria, por ejemplo, las instituciones educativas han migrado de la instrucción presencial a la instrucción en línea para contrarrestar los efectos de la inseguridad (Akhigbe y Ogunlade, 2022). El aprendizaje en línea ha emergido como una solución para superar barreras geográficas y de tiempo, permitiendo el acceso a la Educación a Distancia de manera flexible y conveniente (Carmo y Franco, 2019; Akhigbe y Ogunlade, 2022).
En este contexto, la escuela no solo se convierte en un espacio de aprendizaje, sino también en un entorno crucial para el desarrollo de habilidades y valores que promueven la ciudadanía democrática en el siglo XXI (Barrientos et al., 2023). La seguridad, tanto física como en el acceso a la educación, se vuelve esencial para garantizar la continuidad de este proceso formativo.
METODOLOGÍA
Considerando el contexto actual de inseguridad y la creciente incidencia de la criminalidad en diversas regiones de Ecuador, esta investigación pretende contrastar la hipótesis sobre el efecto positivo que la tasa de homicidios tiene sobre las matriculaciones en el sistema de Educación a Distancia de la UTPL, a nivel provincial. De esta manera, esta modalidad de estudios podría concebirse como una alternativa atractiva y segura para los estudiantes en áreas afectadas por altos índices de inseguridad. En este sentido, esta investigación pretende generar evidencia a favor de esta modalidad de estudios de nivel superior como una opción más segura y conveniente, sobre todo, en entornos con elevada inseguridad.
La UTPL (2023a) se destaca como una institución pionera en el sistema educativo ecuatoriano, especialmente por su modelo distintivo de EaD, con presencia en todas las provincias a través de una red de centros de apoyo. En esta investigación, se consideran datos del número de los estudiantes matriculados en el sistema de estudios de educación superior a distancia de la UTPL, desde abril-agosto 2019 hasta octubre 2022-febrero 2023, comprendiendo un total de ocho periodos académicos. Estos datos fueron proporcionados por el Vicerrectorado de Modalidad a Distancia de la UTPL (UTPL, 2023b). Este insumo de información fue consolidado a nivel regional y provincial con la finalidad de complementar la base de datos definitiva del estudio.
Esta investigación se desarrolla a partir de un conjunto de datos longitudinal, en donde las provincias de Ecuador representan las unidades transversales observadas entre 2019 y 2022. Además de los datos académicos tomados del Vicerrectorado de Modalidad a Distancia de la UTPL, los datos asociados a violencia fueron tomados del Ministerio del Interior (2022). Para garantizar la precisión y la validez del estudio, se han integrado datos económicos clave como el Valor Agregado Bruto del Sector Servicios de Enseñanza Superior; los cuales fueron tomados de las cuentas satélite de Educación (INEC, 2022) y, en el análisis se contempla como variable de control. El panel de información tiene un total de 92 datos (n = 92, n = x x t, en donde x = 23 provincias observadas durante t = 4 años). El conjunto de datos es un panel balanceado que abarca 23 provincias continentales –se excluye del análisis a la provincia de la región Insular Galápagos, considerando las características que esta posee y que la diferencian considerablemente de las otras provincias continentales de Ecuador– y ofrece una representación fiable y completa de la información relevante para el estudio.
Considerando los objetivos de investigación, el tipo y estructura de datos, en el presente estudio se utilizaron tres formas de evidenciar la respuesta de la tasa de matrícula a las variaciones de la tasa de violencia: el primer método fue el de Mínimos Cuadrados Ordinarios MCO, la segunda forma fue la generación de un modelo bajo la metodología multinivel y, finalmente, se utilizó un modelo de panel. El orden de aplicación de las metodologías tiene el sentido de ir develando de manera paulatina la evidencia del comportamiento de la relación planteada en el estudio, pero también busca la rigurosidad a través de técnicas robustas apropiadas que generen resultados cuantitativos confiables.
De igual modo, consideremos que los fenómenos sociales tienen características que van asociadas a la naturaleza jerárquica de los datos. Este hecho, hace que la posición de las observaciones venga determinada por sus propias características como por las del colectivo al que pertenecen (Cebolla, 2013). La relación entre la matriculación y los hechos violentos representados por los homicidios presenta claramente un componente jerárquico de región y provincia.
El modelo MCO fue planteado de tal forma que se pudo evidenciar una diferencia en el intercepto y la pendiente, esto siguiendo la evidencia gráfica y exploración inicial de los datos, la forma funcional de este tipo de comportamientos se presenta en la ecuación 1:
(1)
La metodología multinivel empleada, exploró el comportamiento fijo y aleatorio de los datos, así como el orden jerárquico de la información. El modelo multinivel de partida es el “vacío” que simplemente recoge los movimientos de la media país (parte fija) y el error estándar (parte aleatoria) de los datos; su importancia radica en el hecho de que a partir de ello se medirá la sensibilidad o la información que aporta cada nivel de anidamiento y cada variable explicativa. Luego de varios ensayos se determinó que la forma que más aportó a la explicación de los movimientos de la matrícula fue el modelo multinivel de efectos mixtos, cuya representación está en la ecuación 2:
(2)
Finalmente, el modelo de datos de panel –considerado para corroborar los resultados del modelo multinivel– se presenta en la ecuación 3. Ante la evidencia de efectos individuales, los resultados de la prueba de Hausman revelan
la validez del supuesto del modelo de efectos fijos, en donde . Así la expresión del modelo de efectos
fijos de panel a estimar se expresa a continuación:
(3)
En donde el coeficiente a1 representa la pendiente de la variable logaritmo de los homicidios sobre el logaritmo de la matrícula. El coeficiente a2 representa la pendiente del VAB del Sector Servicios de Enseñanza Superior, como variable de control. La perturbación estocástica del modelo de efectos fijos de panel se representa en eit. La estimación por datos de panel considera la dependencia transversal y estimadores robustos a la heterocedasticidad. En los resultados se presentan dos estimaciones de efectos fijos: las del modelo simple (sin incluir el control del contexto económico de las provincias) y el modelo completo (en el que se incluye la variable de control), esto para verificar la estabilidad del efecto identificado entre la variable explicativa y la explicada, en todas las modelaciones econométricas realizadas.
RESULTADOS
La comparación expuesta en la Figura 1, destaca el agrupamiento regional y provincial que existe entre la tasa de matrícula y la tasa de homicidios en los cuatro años de estudio. Además de existir una relación que visualmente es evidente, también hay un agrupamiento regional coherente a lo expuesto en el apartado del contexto ecuatoriano. En el caso provincial, posteriormente se demostrará con detalle los resultados de este comportamiento.

El comportamiento medio de la tasa de matriculación fue de 7,54 con una dispersión baja, igual a 0,87 (mínimo 5,97 y máximo 10,06), y la tasa media de homicidios fue de 3,36 con una dispersión alta 1,56 (mínimo 0 y máxima 7,62). La alta dispersión en la tasa de homicidios nos demuestra que hay provincias en todas las regiones que tienen mayores índices de violencia, pero que, a pesar de ello, la matrícula tiene tasas homogéneas en todo el país.

La relación planteada busca evidenciar que la matriculación en el sistema de estudios a distancia se puede ver afectada por los movimientos violentos que conmocionan más a la sociedad, como son los homicidios. De igual forma se observó un anidamiento regional y provincial, lo último porque las personas en el territorio tienen formas de vida y de accionar heterogéneas.
Después de este análisis descriptivo a partir de la representación gráfica de las variables, en la siguiente sección se presentan los resultados de las modelaciones econométricas correspondientes.
Modelo con diferencia de intercepto y diferencia de pendientes
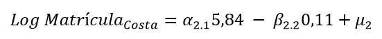
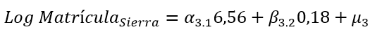
La estimación por Mínimos Cuadrados Ordinarios (MCO), en la que se realizó una diferencia de intercepto y pendientes para cada región, confirmó que la tasa de matriculación se ve afectada positivamente por la tasa de homicidios, pero que los efectos no son los mismos en cada región. A continuación, se presentan los resultados (ecuaciones 4, 5 y 6) para cada área:
(4)
(5)
(6)
La región Costa tiene una tasa media de matriculación (5,84) menor que las otras dos regiones, con una pendiente negativa (-0,11), este resultado de la región más violenta del país es consistente con la indiferencia que puede tener la población a los hechos violentos. En cambio, las otras dos zonas tienen movimientos positivos ante los hechos violentos como son los homicidios.
Los resultados de la estimación son consistentes, con medidas de bondad de ajuste que no llegaron al óptimo con residuos normalizados; esta técnica se la empleó como punto de partida para medir los movimientos de la relación planteada. En las siguientes subsecciones del documento se presentarán los resultados de técnicas apropiadas para la estructura de datos y la organización regional y provincial de Ecuador, las cuales son adecuadas para contrastar la hipótesis de investigación propuesta.
Modelo multinivel de efectos mixtos: análisis multinivel
A partir de la visión preliminar aportada por el modelo MCO, se plantea una explicación jerárquica utilizando la metodología multinivel, siempre con el objetivo de explicar los movimientos de la matrícula en el sistema de estudios a distancia a partir de un indicador de violencia con un anidamiento de región y provincia.
En el modelo vacío, en la parte fija presenta una media país de matrícula de 7,54 y en la parte aleatoria de 0,87. El 95 % de la matrícula en los cuatro años de análisis –independientemente de la región y la provincia– está muy cerca o en torno a la media país. Este modelo inicial tuvo el sentido de centrar la forma en la que está dispuesta la información; no obstante, fue necesario avanzar en función de los anidamientos planteados.
En el modelo de intercepto aleatorio para las regiones y provincias continentales de Ecuador se tuvo un coeficiente de correlación intraclase del 8 %, lo que evidencia que no hay un anidamiento regional; en cambio, el mismo coeficiente para la disposición de los datos por provincias fue del 98 %, es decir, a nivel provincial se garantizan relaciones reales y significativas.
En el modelo de efectos mixtos se utilizó el “logaritmo de homicidios” para reducir la varianza entre provincias alrededor de la media país. También, la inclusión de la variable homicidios busca explicar la parte de la matrícula que no es explicada por la media país y por el anidamiento provincial. Asimismo, se agregó la región, no como nivel de anidamiento, sino como variable explicativa para determinar los efectos directos que tiene el comportamiento regional en los movimientos de la matrícula. Los resultados se resumen en la ecuación 7:
(7)
El parámetro aleatorio de los homicidios (0,08) muestra cómo crece la matrícula cuando en la provincia hay más violencia. Las regiones como variable independiente explican significativamente los movimientos de la matrícula, la Amazonía tiene de media 6,80, la Costa la media es 7,46 y la Sierra con media 7,58. En todos los casos los errores estándar y los valores de la variable tipificada z (se distribuye normalmente) permiten aprobar la hipótesis de que las variables aportan información para explicar los movimientos de la matrícula.
La dispersión no explicada que se atribuye al nivel provincial ahora es 0,70 –0,18 menos que en el modelo vacío–, esta disminución confirma que la inclusión de las variables independientes homicidios y región tuvo el efecto esperado para explicar los movimientos de la matrícula en el sistema de estudios a distancia. Finalmente, el coeficiente de correlación intraclase fue de 98 %, indicador que ofrece garantía de que los resultados son reales y significativos.
El ajuste logrado con el modelo de efectos mixtos, utilizando el logaritmo de los homicidios y la región como variables independientes y el anidamiento a nivel provincial se evidencia en la Figura 3. En todas las regiones se observa las diferencias en los interceptos y pendientes, ajustándose a la realidad de cada provincia.

Modelo de panel de efectos fijos
Con el fin de validar la relación entre la tasa de homicidios y la tasa de matriculación en estudios superiores de EaD que demuestra el modelo multinivel, se realiza la estimación del panel de datos a través de Mínimos Cuadrados Generalizados Factibles (FGLS) de Parks (1967) y de Panel con Corrección de Errores Estándar (PCSE) de Beck y Katz (1995). Así, en la Tabla 1 se observan los resultados para el modelo simple y el modelo completo. El VAB del Sector Servicios de Enseñanza Superior permite controlar el resultado del efecto de los homicidios sobre las matrículas en EaD, esto considerando la heterogeneidad que existe en el panel de datos a partir de la riqueza económica que para cada territorio representa el proceso de producción del servicio de la enseñanza superior entre provincias.
| Variables | Sin variables de control | Con variables de control | ||
| PCSE | FGLS | PCSE | FGLS | |
| M1 | M2 | M3 | M4 | |
| L_Homicidios | 0,326+ | 0,309+ | 0,131+ | 0,177+ |
| (0,044) | (0,018) | (0,045) | (0,027) | |
| L_VABSS_Enseñanza Superior | 0,332+ | 0,272+ | ||
| (0,058) | (0,035) | |||
| Constante | 6,491+ | 6,550+ | 3,770+ | 4,182+ |
| (0,144) | (0,058) | (0,500) | (0,290) | |
| Observaciones | 92 | 92 | 92 | 92 |
| R2 | 0,352 | 0,578 | ||
Según los resultados de la Tabla 1, el efecto de los homicidios sobre la matriculación en estudios superiores en EaD se reduce al controlar la heterogeneidad productiva (del sector de enseñanza superior) de las provincias de Ecuador. El coeficiente de la variable de control es considerablemente superior al del coeficiente de la variable explicativa (esto en los modelos 3 y 4). Este resultado no va en contra de lo esperado, pues tiene sentido que la dinámica productiva del sector enseñanza en educación superior represente un factor clave en la tasa de matriculación en estudios de nivel superior. Sin embargo, como se observa en los resultados, se verifica la estabilidad del efecto positivo de los homicidios en la matrícula en estudios a distancia: considerando efectos fijos a nivel provincial, el incremento marginal de la tasa de homicidios aumenta en promedio 0,15 la tasa de matriculación de estudios en EaD.
En síntesis, la estimación por MCO reveló variaciones en el impacto de la violencia en las matriculaciones según las regiones. Por su parte la región Costa mostró una tendencia negativa en respuesta a los hechos violentos, otras zonas reflejaron movimientos positivos, sugiriendo una mayor sensibilidad en la toma de decisiones educativas ante la inseguridad.
El modelo multinivel corroboró la relación positiva entre los homicidios y las matriculaciones, evidenciando un anidamiento provincial significativo. Los resultados demuestran cómo el incremento de homicidios influye directamente en el aumento de las matrículas en EaD, especialmente en áreas con mayores índices de violencia, esto podría asociarse a las bondades que ofrece esta modalidad de estudios. Asimismo, la inclusión del Valor Agregado Bruto del sector Servicios de Enseñanza Superior como variable de control en el modelo de panel reforzó la estabilidad del efecto positivo de los homicidios en las matriculaciones. Esto ratifica que la dinámica productiva del sector educativo superior también influye en las decisiones de matriculación, aunque no anula la relación con la inseguridad.
De esta manera, se corrobora la relación significativa entre la tasa de matrícula y la tasa de homicidios (que no necesariamente deriva una relación causal, pero sí un aporte de información para encontrar ciertos comportamientos a nivel jerárquico), los mismos que, según los resultados del modelo multinivel, están anidados a las provincias del territorio continental del Ecuador, generando medias diferentes en cada nivel de anidamiento y pendientes diferentes. Según los resultados del modelo de panel, aun considerando la estructura productiva del sector de enseñanza superior de las provincias ecuatorianas, la relación positiva identificada entre la violencia y la tasa de matriculación, en el contexto estudiado, se confirma.
DISCUSIÓN Y CONCLUSIONES
La Educación a Distancia es una respuesta de calidad en ambientes inseguros, la cual revela un cambio significativo en las preferencias educativas, reflejando la necesidad de entornos más flexibles para el aprendizaje, lo que demuestra cómo la seguridad percibida puede influir en las decisiones educativas de manera considerable.
Los resultados obtenidos muestran una relación significativa representada por la tasa de homicidios y el aumento de las matriculaciones en estudios a distancia de la UTPL. A través de las técnicas econométricas correspondientes, se identificó una asociación directa entre estos factores, evidenciando a su vez, cómo la percepción de un entorno influye en las decisiones educativas de los estudiantes. Se resalta el vínculo entre las matriculaciones y la violencia, mostrando un agrupamiento regional y provincial coherente con la dinámica contextual del territorio ecuatoriano. Los resultados destacan que, a pesar de la variabilidad en los índices de homicidios entre provincias, las tasas de matrícula permanecen relativamente homogéneas a nivel nacional.
En un contexto donde la seguridad y la estabilidad se vuelven cada vez más esquivas, la EaD emerge como un recurso vital, destacando la flexibilidad y la adaptabilidad como pilares fundamentales en la toma de decisiones educativas. Si bien tradicionalmente se ha asociado la matriculación universitaria con factores tanto individuales, académicos, institucionales, socioeconómicos, entre otros (Spady, 1970; Fishbein y Ajzen, 1975; Tinto, 1975; Bean, 1980; Pascarella y Terenzini, 1980; Tinto, 1987; Ethington, 1990; Bernal et al., 2000; John et al., 2000; Díaz, 2008; Tabbodi et al., 2015; Zapata y Perneth, 2016), este estudio revela cómo la percepción de seguridad se convierte en un elemento determinante, con impacto directo en las preferencias de los estudiantes. También es importante mencionar que la dinámica económica del país juega un papel crucial, evidenciando la tendencia a buscar alternativas educativas durante períodos de incertidumbre económica (Roblez, 2019). En este sentido, la adopción de la educación a distancia se presenta como una estrategia no solo para garantizar el acceso a la educación, sino como un mecanismo de respuesta a los desafíos sociales y económicos que enfrentan las comunidades.
En contraste a la evidencia recopilada por diversos estudios, como los de Achumba et al. (2013), Hassan (2014), Adams et al. (2021), Ologele y Fatimah (2023), que resaltan el impacto negativo de la inseguridad y la violencia en los sistemas educativos, esta investigación revela un efecto directo de la inseguridad sobre la tasa de matriculación, bajo un sistema de enseñanza a distancia, similar a la situación de Nigeria en 2022 (Akhigbe y Ogunlade, 2022). Genéricamente, estos estudios reflejan cómo la delincuencia, la violencia y la sensación de inseguridad afectan profundamente la calidad y accesibilidad de la educación en contextos de crisis social.
En Ecuador, la adopción de medidas preventivas, como el cambio de la presencialidad a lo virtual, ha sido una respuesta a los altos índices de inseguridad y criminalidad (Mella, 2023b; Ministerio de Educación del Ecuador, 2023). Esta situación ha suscitado una disminución en los vínculos sociales y una creciente desconfianza hacia las instituciones tradicionales, incluyendo las universidades físicas. Esta pérdida de confianza puede motivar a las personas a buscar alternativas educativas que consideren más seguras y convenientes, para salir de los bruscos cambios sociales provocados por entornos conflictivos (García Aretio, 1999). Un ejemplo palpable de esta opción es la modalidad de Educación a Distancia ofrecida por la Universidad Técnica Particular de Loja (UTPL).
REFERENCIAS
Achumba, I., Ighomereho, O. y Akpor-Robaro, M. (2013). Security challenges in Nigeria and the implications for business activities and sustainable development. Journal of economics and sustainable development, 4(2). ISSN: 2222-2855 (Online).
Adams, O. T., Adedeji, M. S., Majekodun, O. A., Kehinde, B. R. y Adams, T. A. (2021). The effects of insecurity on school system (Secondary Schools) in Nigeria. En S. E. Ochigbo, K. Beetseh y S. Abubakar (Eds.), Global Insecurities: Challenges and the ways forward (1st ed), 126-136. Akure: Science and Education Development Institute, Nigeria. https://doi.org/10.5281/zenodo.4724071
Akhigbe, O. J. y Ogunlade, B. O. (2022). Online instruction: Panacea to insecurity in Nigerian Tertiary Institutions. Nigerian Online Journal of Educational Sciences and Technology, 4(1), 46-56.
Banco Mundial. (2011). Informe sobre el desarrollo mundial 2011: Conflicto, seguridad y desarrollo. https://openknowledge.worldbank.org/server/api/core/bitstreams/a6c29ed3-ba9d-590c-9bd7-bbfc9ce74c61/content
Barrientos, J., García-Camacho, M. y Reyes- Sánchez, J. (2023). Impacto de la inseguridad en las instituciones de educación superior en Fresnillo, Zacatecas. FILHA, 18(29), 82-100.
Bean, J. P. (1980). Dropouts and turnover: The synthesis and test of a causal model of student attrition. Research in Higher Education, 12, 155-187. https://doi.org/10.1007/BF00976194
Beck, N. y Katz, J. (1995). What to Do (and Not to Do) with Time-Series Cross-Section Data. American Political Science Review, 89(3), 634-647. https://doi.org/10.2307/2082979
Becker, K. (2012). Uma análise econômica da relação entre educação e violência (Tese de doutorado, Economia Aplicada). Escola Superior de Agricultura Luiz de Queiroz. https://doi.org/10.11606/T.11.2013.tde-15032013-092954
Bernal, E., Cabrera, A. y Terenzini, P. (2000). The relationship between race and socioeconomic status (SES): Implications for institutional research and admissions policies. Removing Vestiges: research-based strategies to promote inclusion. A publication of the American Association of Community Colleges, (3), 6-19. https://eric.ed.gov/?id=ED445637
Carmo, R. y Franco, A. (2019). Da docência presencial à docência online: aprendizagens de professores universitários na educação a distância. Educação em Revista, 35. https://doi.org/10.1590/0102-4698210399
Cebolla, H. (2013). Introducción al análisis multinivel. Centro de Investigaciones Sociológicas.
Chevalier, S. (16 de agosto de 2023). ¿En qué países latinoamericanos hay más homicidios? Statista. https://es.statista.com/grafico/17768/paises)-con-las-tasas-de-homicidio-mas-altas-en-america-latina/
Cieza, D. (2009). Economía ilícita, control social y violencia: Notas sobre el crimen organizado y consecuencias del narcotráfico y su represión en algunos países latinoamericanos. Relaciones Internacionales. http://sedici.unlp.edu.ar/handle/10915/10053
Coba, G. (17 de agosto de 2023). La inseguridad ya muestra un efecto en el precio final de los productos. Primicias. https://www.primicias.ec/noticias/economia/inseguridad-pobres-ecuador-consumo/
Cooley, K. (2011). Energy Security Is National Security. En S. R. Ronis (ed.), Economic Security: Neglected Dimension of National Security? (63-74). National Defense University Press. https://ndupress.ndu.edu/Portals/68/Documents/Books/economic-security.pdf
Coupland, R. (2007). Security, insecurity and health. Bulletin of the World Health Organization, 85(3), 181-184. https://doi.org/10.2471/BLT.06.037135
Cueto, E. (2022). La educación como mecanismo de contención y prevención de la delincuencia juvenil. Educació social. Revista d'intervenció socioeducativa, (81), 41-57. https://doi.org/10.34810/EducacioSocialn81id399572
Dammert, L. (2010). Violencia, crimen e inseguridad en América Latina: desafíos para la democracia. Academia Superior de Estudios Policiales, 6, 56-87.
Díaz, C. (2008). Modelo conceptual para la deserción estudiantil universitaria chilena. Estudios pedagógicos (Valdivia), 34(2), 65-86. https://doi.org/10.4067/S0718-07052008000200004
Ethington, C. (1990). A psychological model of student persistence. Research in Higher Education, 31, 279–293. https://doi.org/10.1007/BF00992313
Fishbein, M. y Ajzen, I. (1975). Attitudes toward objects as predictors of simple and multiple behavioural criteria. Psycological Review, (81), 59-74. https://doi.org/10.1037/h0035872
Furlán, A. (2012). Inseguridad y violencia en la educación: Problemas y alternativas. Perfiles educativos, 34(spe), 118-128. http://www.scielo.org.mx/scielo.php?script=sci_arttext&pid=S0185-26982012000500011&lng=es&tlng=es
García Aretio, L. (1999). Historia de la educación a distancia. RIED-Revista Iberoamericana De Educación a Distancia, 2(1), 8–27. https://doi.org/10.5944/ried.2.1.2084
Global Organized Crime Index. (2023). Ranking by criminality. https://ocindex.net/rankings
Gottfredson, M. y Hirschi, T. (1990). A general theory of crime. Stanford University Press. https://doi.org/10.1515/9781503621794
Hassan, M. (2014). Boko Haram insurgency and the spate of insecurity in Nigeria: manifestation of governance crisis. Research on humanities and social sciences, 4(18), 9-18. ISSN: 2225-0484 (Online).
Hirschi, T. (2002). Causes of Delinquency. Transaction Publishers.
Instituto Nacional de Estadísticas y Censos [INEC]. (2022). Visualizador de las cuentas Satélite de Educación.
John, E., Cabrera, A., Nora A. y Asker, E. (2000). Economic influences on persistence reconsidered: How can finance research inform the reconceptualization of persistence models. Reworking the student departure puzzle, 1, 29-47.
La Hora. (20 de septiembre de 2023). Violencia y pobreza alejan a estudiantes de las aulas. La Hora. https://www.lahora.com.ec/pais/violencia-y-pobreza-alejan-a-estudiantes-de-las-aulas/
López, L. (11 de agosto de 2023). ¿Qué hay detrás del auge de la violencia en Ecuador? France 24. https://www.france24.com/es/am%C3%A9rica-latina/20230811-qu%C3%A9-hay-detr%C3%A1s-del-auge-de-violencia-en-ecuador
Meddings, D. (2001). Civilians and war: A review and historical overview of the involvement of non ‐ combatant populations in conflict situations. Medicine, Conflict and Survival, 17(1), 6-16. https://doi.org/10.1080/13623690108409551
Mella, C. (10 de julio de 2023a). La inseguridad en Ecuador escala a niveles históricos y se impone como prioridad del próximo gobierno. El País. https://elpais.com/internacional/2023-07-10/la-inseguridad-en-ecuador-escala-a-niveles-historicos-y-se-impone-como-prioridad-del-proximo-gobierno.html
Mella, C. (30 de septiembre de 2023b). “Tenemos miedo, es como vivir en guerra”: el infierno de estudiar en Durán, la ciudad más peligrosa de Ecuador. El País. https://elpais.com/internacional/2023-09-30/tenemos-miedo-es-como-vivir-en-guerra-estudiar-en-la-ciudad-mas-peligrosa-de-ecuador.html
Ministerio de Educación del Ecuador [@Educacion_Ec]. (25 de septiembre de 2023). Se dispone la modalidad de clases a distancia en varias instituciones educativas de la Zona 8 y se establece protocolo para la continuidad educativa en caso de hechos delincuenciales que afecten a la comunidad educativa. Twitter. https://twitter.com/Educacion_Ec/status/1706501526439538702
Ministerio del Interior. (2022). Portal de indicadores de Seguridad Ciudadana. Homicidios intencionales.
Mori, L., Meddings, D. R. y Bettcher, D. W. (2004). Health, human security and the peace-building process. Conflict and Human Security: A Search for New Approaches of Peace-building, 19, 176-196.
Niño, C. (2020). Seguridad ciudadana en América Latina: gobernanzas criminales y dimensiones de la violencia. En F. Sánchez y N. Liendo (Eds.), Manual de ciencia política y relaciones internacionales. 207-230. Universidad Sergio Arboleda. https://doi.org/10.22518/book/9789585511972
Observatorio Ecuatoriano de Crimen Organizado. (2022). Situación del Ecuador en el Índice Global de crimen Organizado: Análisis de Nodos Críticos. Fundación Panamericana para el Desarrollo [PADF]. https://oeco.padf.org/wp-content/uploads/2023/03/5-indice-Global-Ecuador-GITOC-OECO.pdf
Olamosu, B (2000). Crisis of Education in Nigeria. Ibadan: Book Farm Publisher. https://worldcat.org/title/47033345
Ologele, I. y Fatimah, I. (2023). Strategic Measures to Curb Insecurity Problems Affecting Students. Pedagogia: Jurnal Ilmiah Pendidikan, 15(1), 9-13. https://doi.org/10.55215/pedagogia.v15i1.5996
ONU. (8 de septiembre de 2023). Ecuador: El aumento de la violencia debe ser una llamada de atención para abordar urgentemente la pobreza, dice un experto de la ONU. Naciones Unidas. https://www.ohchr.org/es/press-releases/2023/09/ecuador-surging-violence-must-be-wake-call-urgently-address-poverty-says-un
Parks, R. W. (1967). Efficient Estimation of a System of Regression Equations when Disturbances are Both Serially and Contemporaneously Correlated. Journal of the American Statistical Association, 62(318), 500-509. https://doi.org/10.1080/01621459.1967.10482923
Pascarella, E. y Terenzini, P. (1980). Predicting freshman persistence and voluntary dropout decisions from a theoretical model. The Journal of Higher Education, 51(1), 60-75. https://doi.org/10.1080/00221546.1980.11780030
Roblez, M. (2019). Análisis de la cointegración de los indicadores macroeconómicos y la matriculación universitaria en el Ecuador. Caso Universidad Técnica Particular de Loja 19872017 (Bachelor's thesis). https://dspace.utpl.edu.ec/handle/20.500.11962/24701
Seaman, J., Allen, E. y Seaman, J. (2018). Grade Increase: Tracking Distance Education in the United States. Babson Survey Research Group. https://eric.ed.gov/?id=ED580852
Spady, W. (1970). Dropouts from higher education: An interdisciplinary review and synthesis. Interchange, 19(1), 109-121. https://doi.org/10.1007/BF02214313
Tabbodi, M., Rahgozar, H. y Makki-Abadi, M. (2015). The Relationship between Happiness and Academic Achievements. European Online Journal of Natural and Social Sciences, 4(1), 241-246. ISSN: 1805-3602. https://european-science.com/eojnss_proc/article/view/4227
Tinto, V. (1975). Dropout From Higher Education: A Theoretical Synthesis of Recent Research. Journal of Higher Education, 45, 89-125. https://doi.org/10.3102/00346543045001089
Tinto, V. (1987). El abandono de los estudios superiores: una nueva perspectiva de las causas del abandono y su tratamiento. Universidad Nacional Autónoma de México, Asociación Nacional de Universidades e Instituciones de Educación Superior. 55 pp.
Toscano, C. (22 de septiembre de 2023). Abandono escolar y criminalidad: una correlación peligrosa. Obspoliticaec. Instagram [@obspoliticaec]. https://www.instagram.com/p/CxeDENJLsWv/?img_index=1
Universidad Técnica Particular de Loja [UTPL]. (2023a). Modelo Educativo de la Modalidad Abierta y a Distancia. EDILOJA Cía. Ltda.
Universidad Técnica Particular de Loja [UTPL]. (2023b). Datos de la matrícula de los estudiantes de modalidad a distancia de la UTPL por provincia. Vicerrectorado de Modalidad a Distancia.
Vuanello, R. (2009). Inseguridad urbana y sus efectos: percepción de los jóvenes. Revista Criminalidad, 51(2), 33-46. http://www.scielo.org.co/scielo.php?pid=S1794-31082009000200003&script=sci_arttext
Zapata, D. y Perneth, A. (2016). Pedagogía y didáctica en la Fundación Universitaria Católica del Norte, elementos de la gestión del conocimiento que deben aportar a la permanencia estudiantil desde el humanismo y para la felicidad. Revista Reflexiones y Saberes, 3(5), 33-43. https://revistavirtual.ucn.edu.co/index.php/RevistaRyS/article/view/783