Estudios
FACTORES ASOCIADOS AL ABANDONO UNIVERSITARIO
FACTORS ASSOCIATED WITH UNIVERSITY DROPOUT
FACTORES ASOCIADOS AL ABANDONO UNIVERSITARIO
Educación XX1, vol. 24, núm. 1, pp. 17-44, 2021
Universidad Nacional de Educación a Distancia

Recepción: 23 Febrero 2020
Aprobación: 20 Julio 2020
Cómo referenciar este artículo / How to reference this article:
Constante-Amores, A.; Florenciano Martínez, E.; Navarro Asencio, E. y Fernández-Mellizo, M. (2021). Factores asociados al abandono universitario.
Educación XX1, 24(1),17-44, http://doi.org/10.5944/educXX1.26889
Constante-Amores, A.; Florenciano Martínez, E.; Navarro Asencio, E., & Fernández-Mellizo, M. (2021). Factors associated with university dropout.
Educación XX1, 24(1), 17-44, http://doi.org/10.5944/educXX1.26889
Resumen: Uno de los grandes problemas del sistema educativo español es el alto porcentaje de estudiantes que abandonan la educación superior. Conocer qué factores inciden en el abandono, así como el perfil del alumnado que abandona, puede ser útil para reducir esta problemática. Este artículo tiene como objetivo analizar los factores de entrada asociados al abandono universitario en la Universidad Complutense de Madrid. La población del estudio corresponde al alumnado que formalizó la matrícula en el primer año de grado del curso académico 2017/18, conformado por un total de 12035 estudiantes cuyos datos han sido proporcionados por el Observatorio del Estudiante de dicha universidad. En el análisis se aplican las técnicas de regresión logística multinivel y árboles de decisión. Las variables independientes son de diferente naturaleza (demográficas, socioeconómicas y académicas) y suman un total de 14. Dentro del conjunto de predictores significativos (un total de 9), la dedicación del estudiante es la variable que más impacto tiene en el abandono: los estudiantes con dedicación a tiempo parcial abandonan en mayor medida que los de tiempo completo. Además, las variables que discriminan y diferencian entre los estudiantes que abandonan y permanecen en la universidad son: dedicación del estudiante, edad, nota de acceso a la Universidad y área de conocimiento. El perfil del alumnado que abandona es el de un estudiante a tiempo parcial, de edad avanzada, con baja nota de acceso a la Universidad y de las siguientes áreas de conocimiento: Ciencias, Artes y Humanidades, Ingeniería y Arquitectura y Ciencias Sociales y Jurídicas. La principal conclusión del estudio es la relevancia de las variables previas a la entrada de la universidad en el abandono universitario. Por ello, a la hora de reducir esta problemática es fundamental el desarrollo de un enfoque preventivo y diagnóstico.
Palabras clave: Minería de datos, educación superior, análisis logístico multinivel, abandono de estudios.
Abstract: The Spanish education system is characterised by a high university dropout rate. This dropout rate can be reduced through the identification of its most important factors. This research focuses on bridging the dropping out factors with the students’ background before their admission to the Complutense University of Madrid. Our data analysis takes into account of 12035 students who enrolled in the academic year 2017/8. Multilevel- logistic-regression techniques and decision trees have been applied in the search for answers. Fourteen independent variables have been studied (such as the demographic, socioeconomic and academic background). Surprisingly, student’s dedication is the main factor affecting the dropout rate: a higher rate is observed in part-time students instead of those who have enrolled full-time. Other factors contributing to dropping out are the student’s perseverance, their age, the results achieved in their A-levels and the field of their studies. Generally, students dropping out from university are characterised by being enrolled part-time, mature students, not high A-levels results, and most of them are enrolled in degrees of the following fields: science, arts and humanities, engineering and architecture, and social sciences. To conclude, we show that the main factors linked to the dropping out of university are independent of the student’s college performance, and only depend on student’s background-factors. Therefore, it is essential to develop preventive and diagnostic approaches to tackle this issue.
Keywords: Data mining, higher education, multilevel logistic analysis, dropout.
INTRODUCCIÓN
En las últimas décadas se ha producido un aumento del alumnado español en la educación terciaria (CRUE, 2018). Sin embargo, es importante resaltar que el 33% de estos estudiantes acaban abandonando sus estudios (Ministerio de Ciencias, Innovación y Universidades, 2019). Este porcentaje se aleja del objetivo propuesto por el Consejo Europeo para el 2020, que implica reducir el abandono en España a un 15%.
Además de su alta tasa, este fenómeno educativo ocasiona numerosas consecuencias negativas, tanto a nivel individual como a nivel institucional. Por un lado, el estudiante que abandona tiene que hacer frente a una importante pérdida de recursos invertidos en su educación, tanto de tiempo como de dinero (Mestan, 2016). Por otro lado, ocasiona un descenso del prestigio de la institución académica, así como importantes pérdidas económicas para el Estado (González et al., 2007). Debido a esto, existe una amplia literatura (Esteban et al., 2017; Gairín et al., 2014; González et al., 2007) que pone de manifiesto que el abandono universitario es uno de los grandes problemas del sistema educativo español.
Por lo tanto, es fundamental la realización de investigaciones rigurosas y sistemáticas que identifiquen las características de los estudiantes que abandonan sus estudios universitarios. Cabe destacar que, a la hora de estudiar este fenómeno desde un punto de vista empírico, únicamente se ha abordado desde una perspectiva global (Casanova et al., 2018; Thuy et al., 2017); es decir, teniendo en cuenta tanto las variables previas a la entrada a la universidad como las posteriores. La popularidad de este enfoque de estudio se debe a que Tinto (1975), pionero en la investigación de los factores asociados al abandono, señaló la importancia de estudiar las causas de este fenómeno de manera exhaustiva. A la hora de analizar estos dos factores en un mismo modelo predictivo se aprecia la relevancia de los predictores posteriores a la entrada a la universidad (Aranque et al., 2009; Casanova et al., 2018; Zamora et al., 2020). Hay que tener presente que este último conjunto de variables suele encontrarse en los primeros lugares en los diversos modelos estadísticos, ocasionando que se desconozca la importancia real que tienen en el abandono los factores de entrada (dedicación del estudiante, tipo de centro, convocatoria de admisión, etc.). Por lo que es necesario el desarrollo de un nuevo enfoque preventivo y diagnóstico a la hora de abordar esta problemática. Además, únicamente desde esta perspectiva se puede llevar a cabo una detección temprana del abandono universitario.
Desde un punto de vista metodológico, la técnica más utilizada a la hora de estudiar el abandono es la regresión logística (Aranque et al., 2009; Esteban et al., 2017; Zamora et al., 2020). Estos análisis predictivos consideran la estructura anidada de los datos educativos y la parte de varianza compartida entre los estudiantes matriculados en la misma titulación o que acuden al mismo centro; en consecuencia, los resultados aportados pueden estar sesgados ( Gaviria y Castro, 2005). Por consiguiente, es necesario estudiar este fenómeno a través de un análisis logístico multinivel que considere este carácter jerárquico y estudie los efectos que tiene sobre el abandono la pertenencia a un mismo grado o facultad. Asimismo, a la hora de abordar los factores del abandono universitario son escasas las investigaciones que han tratado de identificar las variables que tienen un mayor impacto en esta problemática, por ejemplo, mediante la utilización de técnicas de minería de datos, o el estudio del perfil del estudiante que tiene más posibilidades de abandonar o permanecer en la enseñanza terciaria (Abu-Oda y El-Halees, 2015; Casanova et al., 2018).
Debido a todo lo indicado, utilizando la información de entrada de los estudiantes a la universidad proporcionada por el Observatorio del Estudiante de la Universidad Complutense de Madrid (UCM), este trabajo quiere dar respuesta a las siguientes preguntas de investigación: ¿cuáles son las variables que tienen un mayor impacto en el abandono?, ¿qué variables inciden en la probabilidad de abandonar los estudios universitarios? y ¿cuál es el perfil del estudiante que tiene más posibilidades de abandonar y permanecer en la enseñanza terciaria?
Factores de entrada a la universidad asociados con el abandono universitario
El abandono universitario se caracteriza por su complejidad (Stiller y Bachmaiel, 2017) y multicausalidad (Freixa at al., 2018), por lo que encontramos diversas clasificaciones de los factores asociados con este fenómeno. Por un lado, la investigación realizada por García (2014) manifiesta que el abandono y el rendimiento académico en la educación superior se encuentran constituidos por factores individuales y organizacionales. Por otro lado, Munizaga et al. (2018) señalan que los predictores del abandono se encuentran conformados por cinco determinantes: individual, académico, económico, institucional y cultural. El presente estudio va a utilizar la taxonomía realizada por García (2014) para los factores individuales, ya que se caracteriza por su exhaustividad y simplicidad.
Factores demográficos
En relación a los factores demográficos, las variables más estudiadas son el sexo y la edad. Con respecto a la primera, los estudios realizados no resultan concluyentes. Por un lado, la investigación realizada por Casanova et al. (2018) indica que las mujeres de las universidades del norte de Portugal son las que tienen más posibilidades de abandonar. En la misma línea, González-Ramírez y Pedraza-Navarro (2017) señalan que las mujeres estudiantes de la Universidad de Sevilla abandonan más que los hombres. Y, por otro lado, el estudio realizado por Gairín et al. (2014) indica que los estudiantes varones de las universidades de Cataluña tienen menos probabilidades de permanecer en la educación superior. Con resultados similares, la investigación realizada por Saleem y Ayedh (2013) muestra que en la Universidad de Sultan Qaboos (Omán) y la Universidad de Kuwait entre 2000 y 2011 los hombres tienen más posibilidades de abandonar.
En cuanto a la edad, encontramos menos discrepancias que en el caso del sexo. El trabajo elaborado por Freixa et al. (2018) señala que los estudiantes de la Universidad de Barcelona que son mayores de 25 años tienen un mayor porcentaje de abandono. De la misma manera, la investigación realizada por Aranque et al. (2009) señala que el alumnado de la Universidad de Granada que tiene entre 18 y 19 años presenta mayores probabilidades de permanecer en los estudios terciarios. No obstante, hay que destacar el trabajo realizado por Esteban et al. (2017), ya que señalan que en la actualidad las variables demográficas (sexo y edad) no son relevantes a la hora de explicar este fenómeno educativo.
Otra variable demográfica relacionada con el abandono es el país de origen del estudiante. Stoessel et al. (2015) indican que los estudiantes inmigrantes de primera generación abandonan más que los autóctonos. Sin embargo, es importante tener en cuenta que este predictor ha sido poco investigado en la educación superior.
Factores socioeconómicos
De los diversos determinantes asociados con el abandono universitario los más investigados son los factores socioeconómicos, tal y como indican Munizaga et al. (2018). Estos autores llegaron a esta conclusión tras una revisión sistemática de los predictores del abandono en las Universidades de América Latina y el Caribe, en la que analizaron un total de 81 estudios entre 1990 y 2016.
Los estudios coinciden en que a mayor nivel socioeconómico menor abandono universitario. El trabajo elaborado por González-Ramírez y Pedraza-Navarro (2017) señala que los estudiantes de la Facultad de Ciencias de la Educación de la Universidad de Sevilla con un alto nivel socioeconómico familiar tienen pocas posibilidades de abandonar. La investigación realizada por Walsh y Kurpius (2016) señala la importancia de los estudios realizados por los padres como factor vinculado al menor nivel de abandono de los estudios universitarios. Con resultados similares, el estudio de Contini et al. (2018) analiza una muestra amplia de estudiantes de las universidades de Italia y señala la importancia que tiene el nivel educativo de los progenitores en el abandono.
Otras variables de naturaleza socioeconómica a tener en cuenta son las becas y el trabajo laboral realizado por el estudiante. En relación con la primera, Fernández-Martín et al. (2019) señalan que, una vez controlado el efecto del contexto socioeconómico, los estudiantes de las universidades de Costa Rica que tienen más posibilidades de abandonar sus estudios son aquellos que no disfrutan de ningún tipo de beca. Respecto a la segunda, el estudio realizado por Freixa et al. (2018) muestra que el alumnado que estudia y trabaja a la vez es el que más abandona. Esto coincide con la investigación realizada por Gairín et al. (2014), ya que halla que el estudiantado que tiene más posibilidades de permanecer en la enseñanza terciaria es el que no tiene un empleo. Con similares resultados, el trabajo de Montmarquette et al. (2001) llega a la conclusión de que los estudiantes de la Universidad de Montréal que trabajan tienen más posibilidades de abandonar los estudios. Esta variable se encuentra muy relacionada con el tiempo de dedicación del estudiante: aquellos que se matriculan a tiempo completo abandonan menos ( Hovdhaugen, 2015). En la misma línea, el estudio realizado por Stoessel et al. (2015) señala que los estudiantes de las universidades a distancia de Alemania que tienen más posibilidades de abandonar son aquellos que se han matriculado a tiempo parcial.
Factores académicos
Con respecto a las variables académicas, el orden de elección de estudios es un predictor importante a la hora de explicar el abandono universitario (Arias y Dehon, 2013). La investigación realizada por Casanova et al. (2018) señala que los estudiantes que eligen los estudios en primera opción tienen muy pocas posibilidades de abandonar la enseñanza terciaria. Estos autores destacan que dicha variable se encuentra muy vinculada con la motivación de logro. En la misma línea, el trabajo realizado por Thuy et al. (2017) señala que el alumnado de la Universidad de Hanoi (Vietman) que más abandona se caracteriza por su poca motivación, capacidad percibida y bajo rendimiento académico en el primer año. También la investigación de Rump at al. (2017) obtiene resultados similares.
Otra variable de naturaleza académica que tiene una gran influencia en el abandono universitario es la nota de acceso a la Universidad. El trabajo realizado por Belloc et al. (2010) muestra que los estudiantes de la Universidad de Roma que menos abandonan son aquellos que tienen un alto rendimiento académico en la prueba de acceso. Similares resultados han obtenido Casanova et al. (2018) y Esteban et al. (2016), que indican la importancia del rendimiento previo en la permanencia del estudiante.
Asimismo, la vía de acceso a la universidad también se encuentra vinculada con el abandono universitario. Específicamente, los estudiantes de las universidades de Italia que proceden de bachillerato tienen más posibilidades de permanecer en el sistema universitario en comparación con aquellos que acceden a través de la formación profesional (Clerici et al., 2015). Por último, el área de conocimiento elegida también puede tener influencia sobre el abandono. En esta línea, la investigación realizada por Mestan (2016) señala que los estudiantes pertenecientes a las ramas de conocimiento de Artes y Humanidades y Ciencias Sociales tienen más posibilidades de abandonar los estudios.
OBJETIVOS
El objetivo general de la investigación es analizar los factores de entrada asociados al abandono universitario en la UCM. Para su consecución, se formulan los siguientes objetivos específicos:
MÉTODO
Para dar respuesta a los objetivos planteados se optó por un enfoque cuantitativo de investigación a través de un análisis secundario de datos. Se analizó la información recogida por el Observatorio del Estudiante de la UCM. El diseño fue de carácter no experimental y se realizó un análisis descriptivo y predictivo, con la finalidad de obtener unos resultados relevantes aplicables a políticas de tipo preventivo y diagnóstico. A continuación, se describe la muestra utilizada y las variables estudiadas, así como el procedimiento seguido para el análisis de los datos.
PARTICIPANTES
La población del estudio corresponde al alumnado que formalizó la matrícula en el primer año de grado del curso académico 2017/18 en la UCM, constituido por un total de 12035 estudiantes (ver Figura 1). Estos se encuentran agrupados en 71 Grados Universitarios. No se han tenido en cuenta los centros adscritos a la UCM, ya que este conjunto de estudiantes tiene un perfil diferente. Cabe destacar que se seleccionaron a los estudiantes del primer año porque tienen muchas posibilidades de abandonar el sistema educativo universitario. La base de datos la proporcionó el Observatorio del Estudiante de la UCM con la ayuda del Centro de Inteligencia Institucional de dicha universidad.

VARIABLES
La variable dependiente del estudio es el abandono universitario que tiene un carácter dicotómico (1 = abandono y 0 = permanencia) (ver Tabla 1). Se considera que el estudiante ha abandonado si estuvo matriculado en el primer curso de una titulación de la UCM y en el curso académico 2018/19, ya no lo está.

En relación a las variables independientes, el estudio está constituido por un total de 14 variables (ver Tabla 2), todas ellas variables de entrada, pero con diferente naturaleza (demográfica, socioeconómica y académica) (ver Anexo, Tablas 6 y 7, para los descriptivos de estos predictores). Se seleccionaron considerando principalmente teniendo en cuenta la revisión de la literatura realizada en el marco teórico. Se incluyeron la Comunidad Autónoma (CCAA) familiar y el tipo de centro de educación secundaria por su efecto sobre el rendimiento académico en los estudiantes de nuevo acceso (Fernández-Mellizo y Constante-Amores, 2020) y, en consecuencia, su posible efecto sobre los niveles de abandono. Además, se añadió la convocatoria de admisión, ya que se espera que los estudiantes que acceden en septiembre tengan más posibilidades de abandonar que los que acceden a la universidad en la primera convocatoria. En la tabla 2 también se muestran los valores recodificados de las variables independientes. Siguiendo las recomendaciones de Pardo y Ruiz (2013), todas las variables a excepción de la nota de acceso se han dicotomizado con el propósito de facilitar la interpretación.

PROCEDIMIENTO
El primer análisis tiene como objetivo identificar y ordenar de manera empírica las variables con mayor impacto en el abandono universitario. Para ello, se ha utilizado la técnica de árboles de decisión. De los diversos algoritmos que ofrece esta técnica de data mining (CART, CHAID, CHAID exhaustivo y QUEST) se ha seleccionado el procedimiento CART, ya que, a diferencia de los otros procedimientos, se caracteriza por su exhaustividad (Román y Levy, 2003). Además, es el único algoritmo que aporta un índice estadístico (importancia normalizada) a la hora de ordenar las variables. El estudio realizado por Esteban et al. (2017) señala que se puede considerar que una variable independiente tiene un impacto en la variable respuesta cuando tiene un peso del 15% o superior.
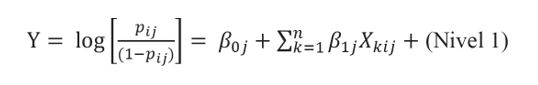
El segundo análisis estudia las variables de entrada que inciden en la probabilidad de abandonar los estudios universitarios teniendo en cuenta la estructura jerárquica de los datos (nivel 1 = estudiante y nivel 2= grado). Debido a que la variable dependiente tiene naturaleza cualitativa nominal dicotómica, se emplea la técnica de regresión logística multinivel (ecuación 1 y 2) para llevar a cabo la estimación. Es adecuado realizar un análisis multinivel debido a la existencia de varianza aleatoria significativa en el nivel 2. Además, el Coeficiente de Correlación Intraclase (CCI) de la presente investigación es superior al 10%, tal y como indica Lee (2000).
Para el efecto de los predictores se han utilizado los coeficientes β (logit) y su probabilidad asociada y la razón de probabilidades, es decir, la exponencial del logit. El primero informa sobre si dicha variable independiente se encuentra asociada positiva o negativamente con el abandono (Y=1). El segundo, la odds ratio, es la división entre la probabilidad de que el estudiante abandone y la probabilidad de que no lo haga. Este último dato estandariza los efectos y permite la comparación de los predictores. El modelo logístico quedaría formulado de la siguiente forma:
Ecuación 1
El término β0j de la misma forma que en los modelos de regresión lineal, actúa como punto de corte, es el logaritmo de la división entre la probabilidad de que un estudiante i del grado j abandone (Y=1) entre la probabilidad de no abandonar (Y=0) cuando el resto de predictores es igual a 0. El coeficiente β1j indica los cambios en la probabilidad producidos por cada variable Xkij. En este caso, no hay varianza residual para el nivel uno porque la distribución de probabilidad asociada a la variable dependiente no es normal. Este residuo se fija a 1 para establecer la métrica de la escala. Cada coeficiente de nivel 1 forma una ecuación de nivel 2:
Ecuación 2
Para estimar el porcentaje de variación de la probabilidad de abandono debido al nivel 2 (grados), es decir, el CCI, se utiliza un factor de corrección de la varianza de nivel 1 porque la distribución logística con la escala fijada a 1 es igual a π2/3, o aproximadamente 3,29 (Hox, 2002). Por tanto:
Ecuación 3
Un valor de CCI igual a 100 señalaría que la probabilidad estaría provocada por cursar el grado y no habría ningún efecto de los estudiantes. También se estimó el Porcentaje de Varianza Explicado (PVE) que señala la cantidad de varianza reducida en el nivel 2 entre los modelos estimados. De esta forma es posible conocer cómo las características de los estudiantes pueden reducir el efecto del grado en la probabilidad de abandono:
Ecuación 4
Finalmente, para comprobar el ajuste de los modelos se utilizaron los índices AIC, BIC y Deviance. Se emplean para comparar los modelos y, en todos los casos, valores bajos indican un mejor ajuste. También es posible calcular la significatividad de esa reducción restando las deviances de los modelos comparados y estimando la distribución chi-cuadrado de esa diferencia, utilizando como grados de libertad la diferencia entre los parámetros estimados en cada modelo, y estimar el porcentaje de varianza reducida (R2) (Cameron y Windmejier, 1997).
A la hora de introducir los predictores en el modelo de regresión logística multinivel se ha utilizado la metodología realizada por Arroyo et al. (2019), que consideran la ordenación de las variables conseguida, en una primera etapa, con la técnica de árboles de clasificación para incluirlos en el modelo. De esta manera, se consiguen llevar a cabo de manera rigurosa los dos principios fundamentales de los modelos estadísticos: parsimonia y máximo ajuste (Pardo y Ruiz, 2013).
El último análisis tiene como propósito identificar el perfil del estudiante que abandona y permanece en sus estudios. Debido a la naturaleza de las variables predictoras, la técnica de los árboles de decisión es la más adecuada a la hora de indicar las variables que mejor discriminan entre estos estudiantes.
Para llevar a cabo los árboles de decisión se ha utilizado el paquete estadístico SPSS versión 25, y la construcción del modelo logístico multinivel se ha realizado con el programa R versión 4.0.2 mediante el paquete lme4.
RESULTADOS
Variables individuales que influyen en el abandono universitario
El predictor más importante a la hora de explicar el abandono universitario es la dedicación del estudiante (Figura 2). Hay que tener presente que, tanto la convocatoria de admisión como el resto de las variables que están por encima, tienen un impacto en este fenómeno, puesto que presentan una importancia normalizada superior al 15%.

Una vez ordenadas las variables se procede a realizar el análisis logístico multinivel. Antes de llevar a cabo este modelo se comprobó el supuesto de multicolinealidad correlacionando las variables predictoras. No se eliminó ninguno porque no se hallaron valores de correlación superiores a 0.8. A la hora de introducir las variables en el modelo de regresión se hizo según su impacto en el abandono universitario (ver Tabla 3).
Los modelos estimados, el nulo, que solo incluye el intercepto, y el modelo final con los predictores significativos muestran los siguientes valores de ajuste:

El modelo final obtiene mejores valores de ajuste, consiguiendo una reducción significativa de la varianza (χ2=1591,4; gl=10; p=.000) equivalente a un R2 del 13%.
Respecto a los coeficientes (ver Tabla 4), el intercepto indica que, cuando los predictores tienen un valor igual a 0, tienen un 139% más de probabilidad de abandonar. El efecto más importante es el de la variable dedicación del estudiante, el alumnado que se matricula a tiempo parcial tiene un 198% más de probabilidad de abandonar en comparación a los estudiantes que se matriculan a tiempo completo. Respecto a la edad, el signo positivo de su coeficiente indica que los estudiantes que tienen 20 años o más tienen menos probabilidad de permanecer en la enseñanza superior. Concretamente, tienen un 27% más de posibilidades de abandonar que el alumnado que tiene 19 años o menos. El signo negativo estimado para la variable nota de acceso, significa que, por cada punto más en la nota de acceso, la odds de abandonar disminuye un 22%. En relación con el área de conocimiento, se puede apreciar que el alumnado que pertenece a las áreas de Ciencias Sociales y Jurídicas y Artes y Humanidades tienen un 43% menos de probabilidad de abandonar. Los hombres tienen un 42% más de probabilidades de abandonar que las mujeres. Respecto al lugar de nacimiento se puede apreciar que los estudiantes que han nacido fuera de España tienen un 38% más de probabilidad de abandonar que los estudiantes autóctonos. El signo negativo de la variable beca pone de manifiesto que el abandono es más probable entre los que no se benefician de este tipo de financiamiento. La odds de abandonar entre los que tienen beca es un 33% menor que aquellos que no tienen beca. Los estudiantes que no han elegido los estudios en primera opción tienen un 17% más posibilidades de abandonar. Por último, respecto a la C CAA familiar, su coeficiente positivo revela que los estudiantes madrileños tienen más posibilidades de permanecer en el sistema educativo universitario. Concretamente, el alumnado que procede de otra comunidad familiar que no sea Madrid tiene un 40% más de probabilidades de abandonar.
Respecto a la variabilidad del nivel 2 (véase Tabla 5), se puede indicar que, sin considerar el efecto de los predictores, el 11.84% de la varianza del abandono es debido al grado universitario y, una vez introducidas las variables del estudiante, este efecto se reduce al 5%. La inclusión de los predictores de entrada consigue explicar un 60.18% de la varianza de nivel 2.


Perfil del estudiante que abandona y permanece en la universidad
En relación con el perfil del estudiante, se puede afirmar que la probabilidad más alta de abandonar (86.8%) se da en aquellos estudiantes cuya dedicación es a tiempo parcial (nodo 2), que tienen 24 años o más (nodo 6), que no pertenecen al área de Ciencias de la Salud (nodo 12) y que no han elegido los estudios en primera opción (nodo 22) (Figura 3). La probabilidad más alta de permanecer en el sistema educativo universitario (87.8%) se da en el alumnado cuya dedicación es a tiempo completo (nodo 1), que tiene una nota de acceso a la Universidad de un 8.6 o más (nodo 4), que no pertenece al área de conocimiento de Ciencias e Ingeniería y Arquitectura (nodo 9), que tiene menos de 22 años (nodo 17) y que se ha matriculado en la primera convocatoria (nodo 27) (Figura 4).


DISCUSIÓN Y CONCLUSIONES
El objetivo general de esta investigación se ha alcanzado al quedar probados los efectos de las variables previas a la entrada de la universidad en el abandono de los estudiantes de la UCM.
En primer lugar, se han ordenado los predictores en función del impacto que tienen en el abandono universitario. Aquí destaca la variable dedicación del estudiante, variable con mayor influencia sobre el abandono universitario. En esta ordenación están representados factores socioeconómicos, demográficos y académicos. El nivel educativo de la madre o el padre son poco importantes, resultado que se diferencia de los trabajos de Aranque, et al. (2009), el estudio de Contini, Cugnata y Scagni (2018) o el de Walsh y Kurpius (2016), los cuales señalan que los estudiantes con padres universitarios tienen más posibilidades de seguir en la educación superior. Esto puede deberse a que una gran parte de los estudiantes de la muestra, aproximadamente el 50%, tienen progenitores con estudios superiores.
Con relación al segundo objetivo de identificar las variables que inciden en la probabilidad de abandonar, se puede apreciar de manera general la importancia de las variables demográficas, socioeconómicas y académicas, ya que explican una parte importante de la variable respuesta (13%), reduciendo la varianza de nivel 2 en más del 60%. En este sentido, se puede afirmar que las variables de entrada al grado vinculadas a las características de los estudiantes palian, en gran medida, el efecto que puede tener en la probabilidad de abandono la realización de una titulación en concreto.
El predictor con mayor efecto en la probabilidad de abandono es la dedicación del estudiante: aquellos que realizan los estudios a tiempo parcial tienen mayor tasa de abandono. Este resultado coincide que los hallazgos de Hovdhaugen (2015) o el trabajo de Stoessel et al. (2015). Realizar los estudios a tiempo parcial suele estar vinculado con la compatibilidad con un puesto de trabajo y, como señalan Montmarquette, Mahseredjian y Houle (2001) es un factor que aumenta las tasas de abandono. Por tanto, es necesario implementar políticas universitarias dirigidas a mejorar la gestión del tiempo de estos estudiantes. Otro predictor socioeconómico con efecto significativo sobre el abandono es el disfrute de beca que, en este caso, reduce la probabilidad de abandonar los estudios. Respecto a esta variable, los resultados hallados apoyan las conclusiones de los estudios de Gairín et al. (2014) y Troiano y Elias (2014), ya que afirman que la concesión de becas es un factor crucial a la hora de reducir el abandono universitario.
Los dos factores socioeconómicos están, en cierta medida, vinculados porque la dedicación parcial dificulta cumplir con los requisitos para la obtención de becas. En consecuencia, incorporar medidas de apoyo económico complementario puede ser beneficioso.
Respecto a las variables demográficas, residir fuera de Madrid, comenzar el grado universitario con 20 años o más, ser inmigrante de primera generación y ser hombre aumentan la probabilidad de abandono. En el primer caso, el mayor abandono que presentan los estudiantes no residentes en Madrid puede deberse a su alta probabilidad de obtener un bajo rendimiento en el primer cuatrimestre (Fernández-Mellizo y Constante-Amores, 2020), aunque también puede estar relacionado con dificultades de tipo económico y de gestión de tiempo que ocasiona el desplazarse del lugar de residencia habitual. Con respecto a la edad, empezar los estudios con una edad más avanzada puede ser un indicador de repetición de algún curso escolar. No obstante, estos resultados son opuestos a los del trabajo de Aranque et al. (2009) que señalan que los estudiantes más jóvenes son los que tienen más posibilidades de abandonar. En cuanto al lugar de nacimiento, la presente investigación va en la misma línea del estudio realizado por Stoessel et al. (2015), puesto que manifiesta que el alumnado nativo abandona menos En cuanto al sexo, este estudio va en sintonía con el trabajo elaborado por Saleem y Ayedth (2013), donde son las mujeres las que tienen más probabilidades de permanecer en la enseñanza superior. Debido a todo lo hallado, desarrollar medidas de atención para los estudiantes inmigrantes o establecer políticas de acogida para aquellos que cambian de residencia son acciones necesarias para disminuir las tasas de abandono.
Por último, en relación con las variables académicas, tener un mejor rendimiento previo ( nota de acceso a la Universidad) disminuye las probabilidades de abandono. Estos resultados coinciden con los estudios de, Belloc et al. (2010), Casanova et al. (2018) y Esteban et al. (2016). En relación con el orden de elección de estudios, este trabajo va en consonancia con el estudio realizado por Arias y Dehon (2013), el de Casanova et al. (2018) o el Thuy et al. (2017), donde los estudiantes que eligen el grado en primera opción tienen menos probabilidad de abandono. Acceder a los estudios elegidos en primer lugar puede aumentar la motivación de los estudiantes y, como demuestran Rump et al. (2017), la motivación intrínseca es un factor que disminuye abandono universitario. En lo referente al área de conocimiento, la presente investigación va en sintonía con el estudio realizado por Castán et al. (2018), ya que muestra que los estudiantes de Ciencias Sociales y Jurídicas y Artes y Humanidades abandonan menos, aspecto que suele relacionarse con una posible mayor dificultad de las titulaciones STEM. No obstante, es necesario profundizar en las características de los grados que pueden influir en el abandono. El último objetivo consistió en describir el perfil del estudiante que abandona y permanece en la UCM. En este sentido, se puede concluir que las variables que discriminan y diferencian entre estos estudiantes son el tiempo de dedicación, edad, área de conocimiento y la nota de acceso. El estudiante que menos abandona los estudios de grado es aquel que tiene una dedicación completa a los estudios, tiene una nota media de acceso superior a 8.6 puntos, está matriculado en grados del área de humanidades y artes, ciencias sociales y jurídicas y ciencias de la salud, tiene 22.5 años o menos y accedió en primera convocatoria.
Desde el punto de vista metodológico, este estudio no realiza únicamente un análisis exploratorio del abandono a través de los árboles de decisión, tal y como lo ha hecho Casanova, et al. (2018) y Tuero, et al. (2018), sino que también se realiza un modelo predictivo (regresión logística binaria multinivel), abordando así de manera exhaustiva esta problemática. Además, al tener en cuenta la estructura jerárquica de los datos, la presente investigación aporta una mayor precisión en los resultados, aspecto poco estudiado hasta el momento.
Dadas las respuestas halladas en la presente investigación, se han encontrado dos implicaciones educativas de gran interés: la posibilidad de reducir la alta incidencia del abandono universitario a través de la detección temprana y la gestión de tiempo. También se destaca que las becas tienen un papel crucial en la reducción de esta problemática, ya que estas pueden modificarse mediante políticas universitarias. Por consiguiente, este estudio puede servir como investigación previa para el diseño de políticas educativas y, de esta manera, mejorar la equidad, pertinencia y calidad del sistema educativo universitario.
Como prospectiva de investigación, es necesario estudiar el impacto de las variables posteriores a la entrada de la universidad (rendimiento académico, créditos superados, asistencia, etc.) asociadas con el abandono universitario. Además, aunque se ha tenido en cuenta la estructura jerárquica de los datos, solo se ha analizado la influencia de un predictor de nivel 2, el área de conocimiento. Por ello, es seguir profundizando en las características de los títulos que pueden determinar el abandono universitario.
REFERENCIAS
Abu-Oda, G. S., & El-Halees, A. M. (2015). Data mining in higher education: university student dropout case study. International Journal of Data Mining & Knowledge Management Process, 5(1), 15-27. https://doi.org/10.5121/ijdkp.2015.5102
Aranque, F., Roldán, C., & Salguero, (2009). Factors influencing university drop-out rates. Computers & Education, 53(3), 563-574. https://doi.org/10.1016/j.compedu.2009.03.013
Arias, E., & Dehon, C. (2013). Roads to Success in the Belgian French Community’s Higher Education System: Predictors of Dropout and Degree Completion at the Université Libre de Bruxelles. Research in Higher Education, 54(6), 693–723. https://doi.org/10.1007/s11162-013-9290-y
Arroyo, D., Constante-Amores, I.A., y Asensio, I. (2019). La repetición de curso a debate: un estudio empírico a partir de PISA 2015. Educación XX1, 22(2), 69-92, doi: 10.5944/educXX1.22479
Belloc, F., Maruotti, A., y Petrella, L. (2010). Abandono universitario: una experiencia italiana. Higher Education, 60(2), 127-138.
Cameron, A.C., & Windmeijer, F.A. (1997). An R-squared measure of goodness of fit for some common nonlinear regression models. Journal of Econometrics, 77(2), 329-342.
Casanova, J.R., Cervero, A., Núñez J. C., Almeida L. S., & Bernardo, A. (2018). Factors that determine the persistence and dropout of university students. Psicothema, 30(4), 408-414. https://doi.org/10.7334/psicothema2018.155
Casanova, J.R., Fernández-Castañon, A.C., Núñez, J.C., Bernardo, A.B., y Almeida, L.S. (2018). Abandono no Ensino Superior: Impacto da autoeficácia na intenção de abandono. Revista Brasileira de Orientação Profissional, 19(1), 41-49. https://doi.org/1026707/1984-7270/2019v19n1p41
Clerici, R., Giraldo, A., & Meggiolario, S. (2015). The determinants of academic outcomes in a competing risks approack: evidence from Italy. Studies in Higher Education, 40(9), 1535-1549. https://doi.org/10.1080/03075079.2013.878835
Contini, D., Cugnata, F., & Scagni, A. (2018). Social selection in higher education. Enrolment, dropout and timely degree attainment in Italy. Higher Education, 75(5), 785-808. https://doi.org/10.1007/s10734-017-0170-9
CRUE (2018). La universidad española en cifras: 2016/2017. http://www.crue.org
Esteban, M., Bernardo, A., Tuero, E., Cervero, A., y Casanova, J. (2017). Variables influyentes en progreso académico y permanencia en la universidad. European Journal of Education and Psychology, 10(2), 75-81. http://dx.doi.org/10.1016/j.ejeps.2017.07.003
Fernández-Martín, T., Solís-Salazar, M., Hernández-Jiménez, M.T., y Moreira-Mora, T.E. (2019). Un análisis multinomial y predictivo de los factores asociados a la deserción universitaria. Revista Electrónica Educare, 23(1), 73-97. http://dx.doi.org/10.15359/ree.23-1.5
Fernández-Mellizo, M., y Constante-Amores, A. (2020). Determinantes del rendimiento académico de los estudiantes de nuevo acceso a la Universidad Complutense de Madrid. Revista de Educación, 387, 213-240.
Freixa, M., Llanes, J. y Venceslao, M. (2018). El abandono en el recorrido formativo del estudiante de ADE de la Universidad de Barcelona. Revista de Investigación Educativa, 36(1), 185-202. http://dx.doi.org/10.6018/rie.36.1.278971
Gairín, J., Triado, X. M., Feixas, M., Figuera, P., Aparicio-Chueca, P., & Torrado, M. (2014). Student dropout rates in Catalan universities: profile and motives for disengagement. Quality in Higher Education, 20(2), 165-182. https://doi.org/10.1080/13538322.2014.925230
García, A.M. (2014). Rendimiento académico y abandono universitario: modelos, resultados y alcances de la producción académica en la Argentina. Revista Argentina de Educación Superior, 8, 9-38.
Gaviria, J. L., y Castro, M. (2005). Modelos jerárquicos lineales. La Muralla.
González, M.C., Álvarez, P.R., Cabrera, L. y Bethencourt, J.T. (2007). El abandono de los estudios universitarios: factores determinantes y medidas preventivas. Revista Española de Pedagogía, 236, 73-85.
González-Ramírez, T. y Pedraza-Navarro, I. (2017). Variables sociofamiliares asociadas al abandono de los estudios universitarios. Educatio Siglo XXI, 35(2), 365-388. http://dx.doi.org/10.6018/j/298651
Hovdhaugen, E. (2015). Working while studying: the impact of term-time employment on dropout rates. Journal of Education and Work, 28(6), 631–651. https://doi.org/10.1080/13639080.2013.869311
Hox, J. (2002). Multilevel analysis: Techniques and applications. Lawrence Erlbaum Associates.
Lee, V.E. (2000). Using hierarchical linear modeling to study social contexts: The case of school effects. Educational Psychologist, 35(2), 125-141. https://doi.org/10.1207/S15326985EP3502_6
Mestan, K. (2016). Why students drop out of the Bachelor of Arts. Higher Education Research & Development, 35(5), 983-996. https://doi.org/10.1080/07294360.2016.1139548
Ministerio de Ciencias, Innovación y Universidades. (2019). Datos y Cifras del Sistema Educativo Español. Publicación 2018-2019. https://bit.ly/2NTX4Hg
Montmarquette, C., Mahseredjian, S., & Houle, R. (2001). The determinants of univer-sity dropouts: A bivariate probability model with sample selection. Economics of Education Review, 20, 475–484. https://doi.org/10.1016/S0272-7757(00)00029-7
Munizaga, F., Cifuentes, M., y Beltrán, A. (2018). Retención y abandono estudiantil en la Educación Superior Universitaria en América Latina y el Caribe: Una revisión sistemática. Archivos Analíticos de Políticas Educativas, 26(61), 1-32. https://doi.org/10.14507/epaa.26.3348
Pardo, M., y Ruiz, M. (2013). Análisis de Datos en Ciencias Sociales y de la Salud III. Síntesis
Román, M.V., y Lévy, J.P. (2003). Clasificación y segmentación jerárquica. En J.-P. Lévy y J. Valera (Coord.), Análisis Multivariable para las Ciencias Sociales (pp. 567-630). Pearson Prentice Hall.
Rump, M., Esdar, W., & Wild, E. (2017). Individual differences in the effects of academic motivation on higher education students’ intention to drop out. European Journal of Higher Education, 7(4), 341-355. https://doi.org/10.1080/21568235.2017.1357481
Saleem, S., & Ayedh, A. (2013). Student drop-out trends at Sultan Qaboos University and Kuwait University: 2000-2011. College Student Journal, 47(3), 499-506.
Stiller, K.D., & Bachmaier, R. (2017). Dropout in an online training for trainee teachers. European Journal of Open, Distance and e-Learning, 20(1), 80-95. https://doi.org/10.1515/eurodl-2017-0005
Stoessel, K., Ihme, T. A., Barbarino, M. L., Fisseler, B., & Stürmer, S. (2015). Sociodemographic diversity and distance education: Who drops out from academic programs and why? Research in Higher Education, 56(3), 228-246.
Thuy, T., Kaur, A., & Busthami, A. H. (2017). A Self-Determination Theory Based Motivational Model on Intentions to Drop out of Vocational Schools in Vietnam. Malaysian Journal of Learning and Instruction, 14(1), 1-21.
Tinto, V. (1975). Dropout from Higher Education: A theoretical synthesis of recent research. Review of Educational Research, 45(1), 89-125. https://doi.org/10.3102/00346543045001089
Troiano, H., & Elias, M. (2014). University access and after explaining the social composition of degree programmes and the contrasting expectations of students. Higher Education, 67(5), 637-654. https://doi.org/10.1007/s10734-013-9670-4
Walsh, K.J., & Robinson Kurpius, S.E. (2016). Parental, residential, and self-belief factors influencing academic persistence decisions of college freshmen. Journal of College Student Retention: Research, Theory and Practice, 18(1), 49–67. https://doi.org/10.1177/1521025115579672
ANEXO


Notas
Notas de autor